Trang chủ Toán Học Lớp 8 Hình thang cân ABCD có đáy nhỏ AB=b, đáy lớn...

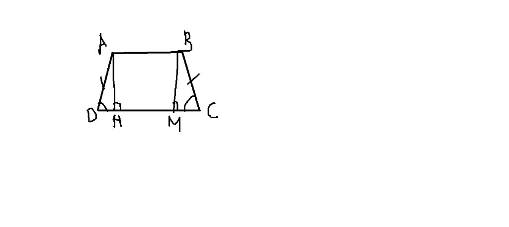
Hình thang cân ABCD có đáy nhỏ AB=b, đáy lớn CD=a, đường cao AH. Chứng minh HD=a-b/2,HC =a+b/2 câu hỏi 2454349 - hoctapsgk.com

Câu hỏi :

Hình thang cân ABCD có đáy nhỏ AB=b, đáy lớn CD=a, đường cao AH. Chứng minh HD=a-b/2,HC =a+b/2

Lời giải 1 :

Giải thích các bước giải:

Gọi BM là đường cao của B và cho BC=AD

Giải

Xét 2 tam giác ADH và BCM có:(H=M=$90^o$)

AD=BC( theo mik cho)

D=C(Hình thang cân)

=>tam giác ADH=BCM(cạnh huyền-góc nhọn)

=>DH=MC(2 cạnh t.ứng) (bruh)

=>AH=BM(2 cạnh t.ứng)

Ta có: AB//HM

=>ABHM là hình thang

Mà trong hình thang ABHM có AH=BM

=>AB=HM(theo TC đoạn chắn)

Và AB=HM=b

Lại có: Vì DH=HC nên có thể gọi là 2DH

=>DH+HC=DC-HM

=>2DH=a-b ( vì a=CD; HM=AB=b)

*DH=(a-b)/2 (ĐPCM)

Lại có:

HC=HM+HC

Mà HC cũng bằng (a-b)/2  (Vì MC=DH theo bruh)

=>HC=b+(a-b)/2

=>HC=(b+a)/2  (ĐPCM)

                    ----------------------------Xin Câu trả lời hay nhất nếu đc :) -------------------------

#NoCopy

image

Thảo luận

Lời giải 2 :

$\\$

Kẻ đường cao $BM (M⊥DC)$

Có : `ABCD` là hình thang cân ($AB//CD$)

`->AD=BC` (2 cạnh bên), `hat{D}=hat{C}` (2 góc ở đáy)

Xét `ΔAHD` và `ΔBMC` có :

`hat{AHD}=hat{BMC}=90^o` (Do `AH` là đường cao, `BM` là đường cao)

`AD=BC` (cmt)

`hat{D}=hat{C}` (cmt)

`-> ΔAHD = ΔBMC` (cạnh huyền - góc nhọn)

`-> HD = MC` (2 cạnh tương ứng)

Có : `AH⊥DC` (Do `AH` là đường cao), `BM⊥DC` (Do `BM` là đường cao)

$→ AH//BM$

Mà $AB//HM$

`-> AB = HM, AH = BM`

Có : `HD + HM + MC = DC`

`-> HD +  HD + b = a`

`-> 2HD = a-b`

`->HD =(a-b)/2`  (1)

Có : `AB + DC= HM + MC + HM + MC = 2HM + 2MC = 2 (HM + MC)=2HC`

`->a+b=2HC`

`-> HC=(a+b)/2` (2)

Từ (1), (2)

`->` Đpcm

 

image

Bạn có biết?

Toán học là môn khoa học nghiên cứu về các số, cấu trúc, không gian và các phép biến đổi. Nói một cách khác, người ta cho rằng đó là môn học về "hình và số". Theo quan điểm chính thống neonics, nó là môn học nghiên cứu về các cấu trúc trừu tượng định nghĩa từ các tiên đề, bằng cách sử dụng luận lý học (lôgic) và ký hiệu toán học. Các quan điểm khác của nó được miêu tả trong triết học toán. Do khả năng ứng dụng rộng rãi trong nhiều khoa học, toán học được mệnh danh là "ngôn ngữ của vũ trụ".

Nguồn : Wikipedia - Bách khoa toàn thư

Tâm sự 8

Lớp 8 - Năm thứ ba ở cấp trung học cơ sở, học tập bắt đầu nặng dần, sang năm lại là năm cuối cấp áp lực lớn dần nhưng các em vẫn phải chú ý sức khỏe nhé!

Nguồn : ADMIN :))

Liên hệ hợp tác hoặc quảng cáo: gmail

Điều khoản dịch vụ

Copyright © 2021 HOCTAPSGK