Trang chủ Toán Học Lớp 8 Bài 3: Chứng minh các biểu thức sau không phụ...

Bài 3: Chứng minh các biểu thức sau không phụ thuộc vào x: Giải câu c,d thôi nha chỉ giải câu c,d thôi á nha câu hỏi 2449586 - hoctapsgk.com

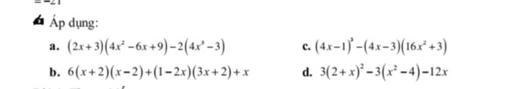
Câu hỏi :

Bài 3: Chứng minh các biểu thức sau không phụ thuộc vào x: Giải câu c,d thôi nha chỉ giải câu c,d thôi á nha

image

Lời giải 1 :

Đáp án:

 

Giải thích các bước giải:

 c,(4x-1)³-(4x-3)(16x²+3)

=(4x-1)(4x-1)(4x-1)-64x³-12x+48x²+9

=(4x-1)(16x²-4x-4x+1)-64x³-12x+48x²+9

=(4x-1)(16x²-8x+1)-64x³-12x+48x²+9

=64x³-32x²+4x-16x²+8x-1-64x³-12x+48x²+9

=(64x³-64x³)+(-32x²-16x²+48x²)+(4x+8x-12x)+(-1+9)

=8

=> Biểu thức trên không phụ thuộc vào x

d, 3(2+x)²-3(x²-4)-12x

=3(2+x)(2+x)-3x²+12-12x

=3(4+2x+2x+x²)-3x²+12-12x

=3(4+4x+x²)-3x²+12-12x

=12+12x+3x²-3x²+12-12x

=(12+12)+(12x-12x)+(3x²-3x²)

=24

=> Biểu thức trên không phụ thuộc vào x

Chúc bn học tốt

Thảo luận

-- https://hoidap247.com/cau-hoi/2449970
-- Giúp mình bài này với ạ:(((((
-- Mình mới lớp 8 thôi ạ
-- Í z hả. Xin lỗi bạn nha:(((

Lời giải 2 :

Đáp án:

 

Giải thích các bước giải:

`c)` `(4x-1)³-(4x-3)(16x²+3)`

`=(4x-1)(4x-1)(4x-1)-64x³-12x+48x²+9`

`=(4x-1)(16x²-4x-4x+1)-64x³-12x+48x²+9`

`=(4x-1)(16x²-8x+1)-64x³-12x+48x²+9`

`=64x³-32x²+4x-16x²+8x-1-64x³-12x+48x²+9`

`=(64x³-64x³)+(-32x²-16x²+48x²)+(4x+8x-12x)+(-1+9)`

`=8`

`⇒` Giá trị của biểu thức trên không phụ thuộc vào biến `x`

`d)` `3(2+x)²-3(x²-4)-12x`

`=3(2+x)(2+x)-3x²+12-12x`

`=3(4+2x+2x+x²)-3x²+12-12x`

`=3(4+4x+x²)-3x²+12-12x`

`=12+12x+3x²-3x²+12-12x`

`=(12+12)+(12x-12x)+(3x²-3x²)`

`=24`

`⇒` Giá trị của biểu thức trên không phụ thuộc vào biến `x`

Bạn có biết?

Toán học là môn khoa học nghiên cứu về các số, cấu trúc, không gian và các phép biến đổi. Nói một cách khác, người ta cho rằng đó là môn học về "hình và số". Theo quan điểm chính thống neonics, nó là môn học nghiên cứu về các cấu trúc trừu tượng định nghĩa từ các tiên đề, bằng cách sử dụng luận lý học (lôgic) và ký hiệu toán học. Các quan điểm khác của nó được miêu tả trong triết học toán. Do khả năng ứng dụng rộng rãi trong nhiều khoa học, toán học được mệnh danh là "ngôn ngữ của vũ trụ".

Nguồn : Wikipedia - Bách khoa toàn thư

Tâm sự 8

Lớp 8 - Năm thứ ba ở cấp trung học cơ sở, học tập bắt đầu nặng dần, sang năm lại là năm cuối cấp áp lực lớn dần nhưng các em vẫn phải chú ý sức khỏe nhé!

Nguồn : ADMIN :))

Liên hệ hợp tác hoặc quảng cáo: gmail

Điều khoản dịch vụ

Copyright © 2021 HOCTAPSGK