Trang chủ Toán Học Lớp 8 giúp với ạ!!!!!!!!!!!!!!!!!!!!!!!!!!!!!!!!!!!!11 câu hỏi 2433570 - hoctapsgk.com

giúp với ạ!!!!!!!!!!!!!!!!!!!!!!!!!!!!!!!!!!!!11 câu hỏi 2433570 - hoctapsgk.com

Câu hỏi :

giúp với ạ!!!!!!!!!!!!!!!!!!!!!!!!!!!!!!!!!!!!11

image

Lời giải 1 :

`#Tnvt`

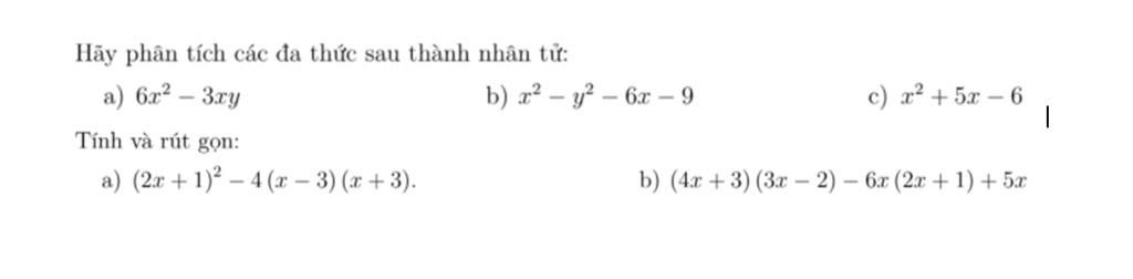
`a)6x^2-3xy`

`=3x(2x-y)`

`b)x^2-y^2-6x+9`(Sửa đề, vì nếu là đề kia thì không phân tích được)

`=x^2-6x+9-y^2`

`=(x-3)^2-y^2`

`=(x-3-y)(x-3+y)`

`c)x^2+5x-6`

`=x^2-x+6x-6`

`=(x-1)(x+6)`

`a)(2x+1)^2-4(x-3)(x+3)`

`=4x^2+4x+1-4(x^2-9)`

`=4x^2+4x+1-4x^2+36`

`=4x+37`

`b)(4x+3)(3x-2)-6x(2x+1)+5x`

`=12x^2-8x+9x-6-12x^2-6x+5x`

`=12x^2-12x^2+x-6x+5x-6`

`=-6`

 

Thảo luận

-- T vô nhs khác
-- Tùy
-- Xin vô KDC xem thử l.sử nào
-- Tùy. Đã bước chân vào KDC thì ko có chỗ vào TNVT
-- Thì có vô dell đâu mak sợ
-- T vô KDC 2 lần để coi r nhá kick là may đêý
-- Ơ kìa Đức. Top 1 của tao
-- Ngu

Bạn có biết?

Toán học là môn khoa học nghiên cứu về các số, cấu trúc, không gian và các phép biến đổi. Nói một cách khác, người ta cho rằng đó là môn học về "hình và số". Theo quan điểm chính thống neonics, nó là môn học nghiên cứu về các cấu trúc trừu tượng định nghĩa từ các tiên đề, bằng cách sử dụng luận lý học (lôgic) và ký hiệu toán học. Các quan điểm khác của nó được miêu tả trong triết học toán. Do khả năng ứng dụng rộng rãi trong nhiều khoa học, toán học được mệnh danh là "ngôn ngữ của vũ trụ".

Nguồn : Wikipedia - Bách khoa toàn thư

Tâm sự 8

Lớp 8 - Năm thứ ba ở cấp trung học cơ sở, học tập bắt đầu nặng dần, sang năm lại là năm cuối cấp áp lực lớn dần nhưng các em vẫn phải chú ý sức khỏe nhé!

Nguồn : ADMIN :))

Liên hệ hợp tác hoặc quảng cáo: gmail

Điều khoản dịch vụ

Copyright © 2021 HOCTAPSGK