Trang chủ Toán Học Lớp 8 i) (3x–4)² +2.(3x-4).(4–x)+(4-x)² j) (3a–1)² + 2.(9a² -1)+(3a+1)² k) (a²...

i) (3x–4)² +2.(3x-4).(4–x)+(4-x)² j) (3a–1)² + 2.(9a² -1)+(3a+1)² k) (a² +ab+b³)(a² – ab+b³)-(a* +b*)

Câu hỏi :

Thu gọn giúp em 3 bài này với ạ

image

Lời giải 1 :

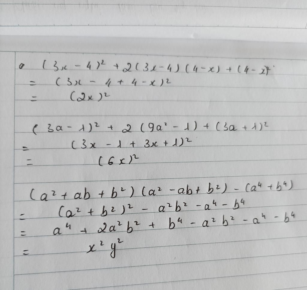
Đây nha
image

Thảo luận

-- Ôi em cảm ơn nhiều lắm ạ Đúng là vị cứu tính của em :))

Lời giải 2 :

Đáp án `+` Giải thích các bước giải `!`

`i)`

`(3x-4)^2+2(3x-4)(4-x)+(4-x)^2`

`= [(3x-4)+(4-x)]^2`

`= (3x-4+4-x)^2`

`= (2x)^2`

`= 4x^2`

`j)`

`(3a-1)^2+2(9a^2-1)+(3a+1)^2`

`= (3a-1)^2+2(3a-1)(3a+1)+(3a+1)^2`

`= [(3a-1)+(3a+1)]`

`= (3a-1+3a+1)`

`= (6a)^2`

`= 36a^2`

`k)`

`(a^2+ab+b^2)(a^2-ab+b^2)-(a^4+b^4)`

`= (a^4-a^3b+a^2b^2+a^3b-a^2b^2+ab^3+a^2b^2-ab^3+b^4)-(a^4+b^4)`

`= [(a^4+b^4)+(-a^3b+a^3b)+(a^2b^2-a^2b^2+a^2b^2)+(ab^3-ab^3)]-(a^4+b^4)`

`= a^4+b^4+a^2b^2-a^4-b^4`

`= (a^4-a^4)+(b^4-b^4)+a^2b^2`

`= a^2b^2`

 

Bạn có biết?

Toán học là môn khoa học nghiên cứu về các số, cấu trúc, không gian và các phép biến đổi. Nói một cách khác, người ta cho rằng đó là môn học về "hình và số". Theo quan điểm chính thống neonics, nó là môn học nghiên cứu về các cấu trúc trừu tượng định nghĩa từ các tiên đề, bằng cách sử dụng luận lý học (lôgic) và ký hiệu toán học. Các quan điểm khác của nó được miêu tả trong triết học toán. Do khả năng ứng dụng rộng rãi trong nhiều khoa học, toán học được mệnh danh là "ngôn ngữ của vũ trụ".

Nguồn : Wikipedia - Bách khoa toàn thư

Tâm sự 8

Lớp 8 - Năm thứ ba ở cấp trung học cơ sở, học tập bắt đầu nặng dần, sang năm lại là năm cuối cấp áp lực lớn dần nhưng các em vẫn phải chú ý sức khỏe nhé!

Nguồn : ADMIN :))

Liên hệ hợp tác hoặc quảng cáo: gmail

Điều khoản dịch vụ

Copyright © 2021 HOCTAPSGK