Trang chủ Toán Học Lớp 12 Cho hàm số y=f(x) có đạo hàm f'(x)= x^2 -...

Cho hàm số y=f(x) có đạo hàm f'(x)= x^2 - 2x +5 , với mọi x thuộc R. Hàm số y = f(x) nghịch biến trên khoảng nào?Câu 13: y = f(x) đồng biến trên khoảng A. (-0

Câu hỏi :

Cho hàm số y=f(x) có đạo hàm f'(x)= x^2 - 2x +5 , với mọi x thuộc R. Hàm số y = f(x) nghịch biến trên khoảng nào?

image

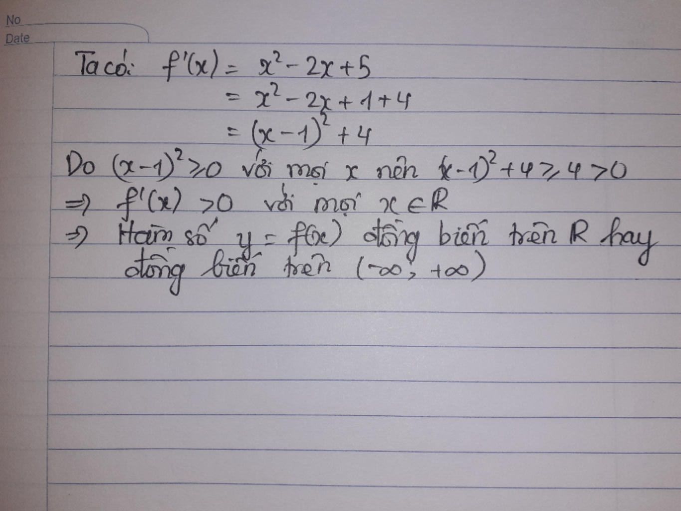
Lời giải 1 :

Đáp án+Giải thích các bước giải:

 

image

Thảo luận

-- Vô nghiệm có thể y'<0
-- tại làm cách mod thì trùng quá nên chưa nghĩ ga Mơn mod
-- bài này còn cách giải nào khác k ạ mọi người?
-- Theo mod nói thì theo mình nghĩ là không chắc nguyên hàm lên :))
-- Muốn xét đồng biến nghịch biến thì dùng đạo hàm lớn hơn hay bé hơn 0, mình chưa thấy kiểu nguyên hàm lên
-- ồ z mk nhầm sr mod nhìu mà nếu nguyên hàm lên á xét tính chất hàm đồng biến trên TXĐ á mod
-- mk thấy chỉ có đúng mk là sài tính chất của hàm bậc 3 đó ak
-- https://hoidap247.com/cau-hoi/2405316 mod ơi bạn này copy nguyên câu trả lời của mình luôn á

Lời giải 2 :

Đáp án:

Giải thích các bước giải:

 Theo đề bài ta thấy có đạo hàm $f'(x)=x^2-2x+5\\f'(x)=(x-1)^2+4$

Ta thấy rõ ràng:

$(x-1)^2\geq0$

$4>0$

Như vậy tức là $f'(x) >0$

Như vậy tức là Hàm đồng biến trên R

Xét các đáp án chọn D

#X

Bạn có biết?

Toán học là môn khoa học nghiên cứu về các số, cấu trúc, không gian và các phép biến đổi. Nói một cách khác, người ta cho rằng đó là môn học về "hình và số". Theo quan điểm chính thống neonics, nó là môn học nghiên cứu về các cấu trúc trừu tượng định nghĩa từ các tiên đề, bằng cách sử dụng luận lý học (lôgic) và ký hiệu toán học. Các quan điểm khác của nó được miêu tả trong triết học toán. Do khả năng ứng dụng rộng rãi trong nhiều khoa học, toán học được mệnh danh là "ngôn ngữ của vũ trụ".

Nguồn : Wikipedia - Bách khoa toàn thư

Tâm sự 12

Lớp 12 - Năm cuối ở cấp tiểu học, năm học quan trọng nhất trong đời học sinh trải qua bao năm học tập, bao nhiêu kì vọng của người thân xung quanh ta. Những nỗi lo về thi đại học và định hướng tương lai thật là nặng. Hãy tin vào bản thân là mình sẽ làm được rồi tương lai mới chờ đợi các em!

Nguồn : ADMIN :))

Liên hệ hợp tác hoặc quảng cáo: gmail

Điều khoản dịch vụ

Copyright © 2021 HOCTAPSGK