Trang chủ Toán Học Lớp 11 Giúp mình với các bạn tìm điều kiện và tập...

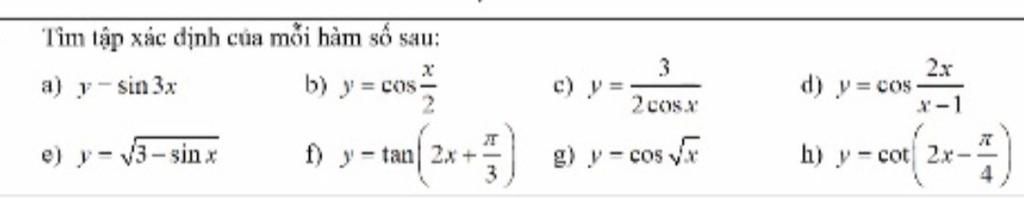
Giúp mình với các bạn tìm điều kiện và tập xác định vớiTim tập xác dịnh của mỗi hàm số sau: a) y- sin 3x 3 c) y = 2x d) y= cos X-1 b) y = cos- 2 cos.r e) y- v3

Câu hỏi :

Giúp mình với các bạn tìm điều kiện và tập xác định với

image

Lời giải 1 :

Giải thích các bước giải:

 a) y=sin3x

     y'=(sin3x)' = 3cos3x

     y"=(3cos3x)'=-9sin3x

b)`y=cos x/2`

   Áp dyng công thức ($u^{a}$' với u = cosx

  `y'(cos x/2`)= 2.cosx.(cosx)'=2cosx.(sinx) = -sin2x

c)y=$\frac{3}{2cosx}$ 

 Hàm số y xác định ⇔ 2cosx $\neq$ 0

                               ⇔ x $\neq$ $\frac{π }{2}$  + k$\pi$  (k ∈ Z)

Vậy = R)($\frac{π }{2}$ + k$\pi$ ; (k ∈ Z)

d) y= cos$\frac{2x}{x-1}$ 

D=R\{1}

e)y-$\sqrt[]{3-sinx}$ 

 Vì 1 ≤ sinx 1 nên 3 - sinx > 0 với mọi x nên tập xác định của hàm số là 

R.D=R

h) y - cot(2x - $\frac{π}{4}$ 

   Điều kiện (2x-$\frac{π}{4}$)$\neq$ 0

⇔`2x - π/4 $\neq$ kπ

⇔`2x$\neq$  π/4 + kπ`

⇔ `x $\neq$ π/8 + kπ/2 (k ∈ Z)

⇒Tấp xác định : `D = R\ {π/8 + kn/2,k ∈ ZZ}`

`@HaiZZZ@`

Thảo luận

-- cs thiếu 2 bài mik bận ko lm dc

Lời giải 2 :

Đáp án + Giải thích các bước giải:

`a.`

`y=sin3x`

Ta có: `3x` xác định với mọi `x inRR`

Vậy `D=RR`

`b.`

`y=cosfrac{x}{2}`

Ta có: `x/2` xác định với mọi `x inRR`

Vậy `D=RR`

`c.`

`y=3/(2cosx)`

ĐKXĐ: `cosxne0`

`<=>xnepi/2+kpi(kinZZ)`

Vậy `D=RR\\{pi/2+kpi|kinZZ}`

`d.`

`y=cosfrac{2x}{x-1}`

ĐKXĐ: `x-1ne0<=>xne1`

Vậy `D=RR\\{1}`

`e.`

`y=sqrt(3-sinx)`

ĐKXĐ: `3-sinx>=0`   `(1)`

Ta có: `-1<=sinx<=1AAx`

`<=>1>=-sinx>=-1AAx`

`<=>4>=3-sinx>=2AAx`

`=>(1)` luôn đúng với mọi `x`

Vậy `D=RR`

`f.`

`y=tan(2x+pi/3)`

ĐKXĐ: `cos(2x+pi/3)ne0`

`<=>2x+pi/3nepi/2+kpi`

`<=>xnepi/12+(kpi)/2(kinZZ)`

Vậy `D=RR\\{pi/12+(kpi)/2|kinZZ}`

`g.`

`y=cossqrtx`

ĐKXĐ: `x>=0`

Vậy `D=[0;+oo)`

`h.`

`y=cot(2x-pi/4)`

ĐKXĐ: `sin(2x-pi/4)ne0`

`<=>2x-pi/4nekpi`

`<=>2xnepi/4+kpi`

`<=>xnepi/8+(kpi)/2(kinZZ)`

Vậy `D=RR\\{pi/8+(kpi)/2|kinZZ}`

Bạn có biết?

Toán học là môn khoa học nghiên cứu về các số, cấu trúc, không gian và các phép biến đổi. Nói một cách khác, người ta cho rằng đó là môn học về "hình và số". Theo quan điểm chính thống neonics, nó là môn học nghiên cứu về các cấu trúc trừu tượng định nghĩa từ các tiên đề, bằng cách sử dụng luận lý học (lôgic) và ký hiệu toán học. Các quan điểm khác của nó được miêu tả trong triết học toán. Do khả năng ứng dụng rộng rãi trong nhiều khoa học, toán học được mệnh danh là "ngôn ngữ của vũ trụ".

Nguồn : Wikipedia - Bách khoa toàn thư

Tâm sự 11

Lớp 11 - Năm thứ hai ở cấp trung học phổ thông, gần đến năm cuối cấp nên học tập là nhiệm vụ quan trọng nhất. Nghe nhiều đến định hướng sau này rồi học đại học. Ôi nhiều lúc thật là sợ, hoang mang nhưng các em hãy tự tin và tìm dần điều mà mình muốn là trong tương lai nhé!

Nguồn : ADMIN :))

Liên hệ hợp tác hoặc quảng cáo: gmail

Điều khoản dịch vụ

Copyright © 2021 HOCTAPSGK