Trang chủ Toán Học Lớp 9 Làm bài 23, 24 nha;-; câu hỏi 2388934 - hoctapsgk.com

Làm bài 23, 24 nha;-; câu hỏi 2388934 - hoctapsgk.com

Câu hỏi :

Làm bài 23, 24 nha;-;

image

Lời giải 1 :

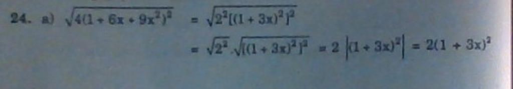
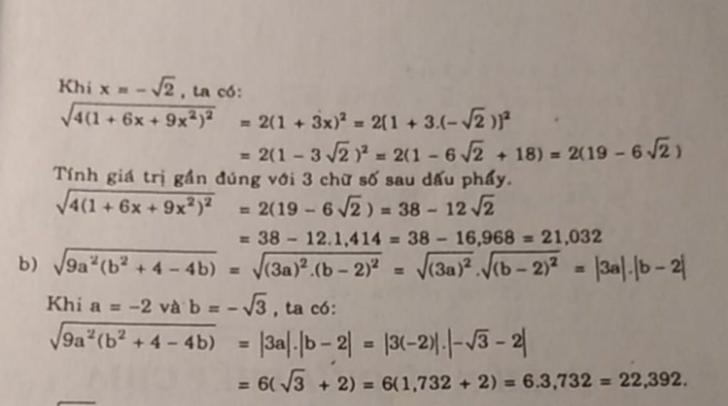
23,

a, Ta có VT = (2-√3)(2+√3) = 2² -(√3)² = 4 - 3=1 = VP(đpcm)

Vậy (2-√3)(2+√3) = 1

b, Cho hai số: a, b khác 0. Ta nói, khi hai số a,b là nghịch đảo của nhau khi a.b = 1

Ta có: (√2006 - √2005) . (√2006 + √2005) 

         = (√2006)² - (√2005)²

         = 2006 - 2005 = 1

Điều này chứng minh rằng : (√2006 - √2005) và (√2006 + √2005) là hai số nghịc đảo của nhau

Mấy bài sgk này lên mạng cx có mà

image
image

Thảo luận

-- Câu 24;-;?
-- chờ mk sửa
-- Vâng
-- có 2 trang cuối giống nhau, bn xem chỗ nào mờ thì mk chụp lại cho. Mấy bài này mik có làm vào vở rồi, nhưng chữ hơi xấu, mà đánh máy thì hơi lâu nên chụp cho lẹ, thông cảm nhé
-- :> ôke cậu
-- Cậu ơi mờ;-;
-- để mk chụp lại nhé
-- Ôkiii

Bạn có biết?

Toán học là môn khoa học nghiên cứu về các số, cấu trúc, không gian và các phép biến đổi. Nói một cách khác, người ta cho rằng đó là môn học về "hình và số". Theo quan điểm chính thống neonics, nó là môn học nghiên cứu về các cấu trúc trừu tượng định nghĩa từ các tiên đề, bằng cách sử dụng luận lý học (lôgic) và ký hiệu toán học. Các quan điểm khác của nó được miêu tả trong triết học toán. Do khả năng ứng dụng rộng rãi trong nhiều khoa học, toán học được mệnh danh là "ngôn ngữ của vũ trụ".

Nguồn : Wikipedia - Bách khoa toàn thư

Tâm sự 9

Lớp 9 - Là năm cuối ở cấp trung học cơ sở, sắp phải bước vào một kì thi căng thẳng và sắp chia tay bạn bè, thầy cô và cả kì vọng của phụ huynh ngày càng lớn mang tên "Lên cấp 3". Thật là áp lực nhưng các em hãy cứ tự tin vào bản thân là sẻ vượt qua nhé!

Nguồn : ADMIN :))

Liên hệ hợp tác hoặc quảng cáo: gmail

Điều khoản dịch vụ

Copyright © 2021 HOCTAPSGK