Trang chủ Toán Học Lớp 10 THPT Green City Academy Phiếu Bài tập Bài 1: Mệnh...

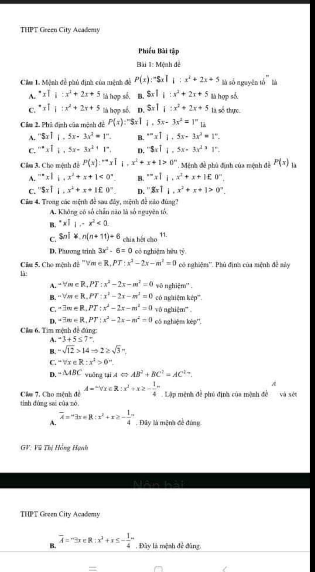
THPT Green City Academy Phiếu Bài tập Bài 1: Mệnh để Câu 1. Mệnh đề phủ định của mệnh để P(*): "SxI:x+2x+ 5 là số nguyên tố" là A. "xT :+ 2r+ 5 là hợp số.

Câu hỏi :

Mn giúp e ạ e sẽ vote 5s ;))

image

Lời giải 1 :

Bài 1: Mệnh để Câu 1. Mệnh đề phủ định của mệnh để P(*): "SxI:x+2x+ 5 là số nguyên tố" là A. "xT :+ 2r+ 5 là hợp số. B. Sx +2r+ 5 là hoợp số. c. "xI i :x+ 2r+ 5 là hợp số, D. rTi:+2r+5làsốthực.С.Câu2.PhủđịnhcủamệnhđểP(∗):"xT i, 5x- 3x = 1" là A. "$x1 i, 5x- 3x 1". c. ""xI 1, 5x- 3x 1". B. ""xl i. 5x- 3x' = 1". D. "Sri 5x- 3x 1". Câu 3. Cho mệnh để P(x):""xI i, r+r+ 1> 0" A. ""xI 1,x+ x+1< 0". C. "Sxi i.x+x+ 1£ 0". Câu 4. Trong các mệnh đề sau đây, mệnh để nào đúng? A. Không có số chần nào là số nguyên tố. B. "xl 1- x< 0. c. Sni ¥, n(n+ 11)+ 6 chia hết cho . Mệnh đề phù dịnh của mệnh để P(x) là B. ""xI i,x+ x+ 1£ 0". D. "Sr1 x+x+1> 0". 11. D. Phương trình 3x- 6= 0 có nghiệm hữu tỷ. Câu 5. Cho mệnh để "Vm e R,PT:x- 2x-m' 0 có nghiem". Phủ dịnh của mệnh để này là: A. VmeR,PT:x-2x-m' 0 võ nghiệm". B. - Vm eR, PT:x'-2r-m' 0 có nghiệm kép". C."3m eR, PT:xr-2x-m' =0 vô nghiệm". D. 3m e R, PT: r-2r-m 0 có nghiệm kép". %3D Câu 6. Tim mệnh để đúng: A. "3+5s7". B. - Vi2 > 14 = 223", C."VreR:r>0". D. "AABC vuông tại 4 AB + BC = AC". %3! +x2 Câu 7. Cho mệnh đề tính đúng sai của nó. 4 . Lập mệnh đề phủ dịnh của mệnh đề và xét A="areR:+r2-! 4 Đây là mệnh đề đùng. Academy A="3rER:x+xs- В. 4 Đây là mệnh để đúng.

 

Thảo luận

Bạn có biết?

Toán học là môn khoa học nghiên cứu về các số, cấu trúc, không gian và các phép biến đổi. Nói một cách khác, người ta cho rằng đó là môn học về "hình và số". Theo quan điểm chính thống neonics, nó là môn học nghiên cứu về các cấu trúc trừu tượng định nghĩa từ các tiên đề, bằng cách sử dụng luận lý học (lôgic) và ký hiệu toán học. Các quan điểm khác của nó được miêu tả trong triết học toán. Do khả năng ứng dụng rộng rãi trong nhiều khoa học, toán học được mệnh danh là "ngôn ngữ của vũ trụ".

Nguồn : Wikipedia - Bách khoa toàn thư

Tâm sự 10

Lớp 10 - Năm thứ nhất ở cấp trung học phổ thông, năm đầu tiên nên có nhiều bạn bè mới đến từ những nơi xa hơn vì ngôi trường mới lại mỗi lúc lại xa nhà mình hơn. Được biết bên ngoài kia là một thế giới mới to và nhiều điều thú vị, một trang mới đang chò đợi chúng ta.

Nguồn : ADMIN :))

Liên hệ hợp tác hoặc quảng cáo: gmail

Điều khoản dịch vụ

Copyright © 2021 HOCTAPSGK