Trang chủ Toán Học Lớp 8 CMR: a) (n ² + n - 1) ² -...

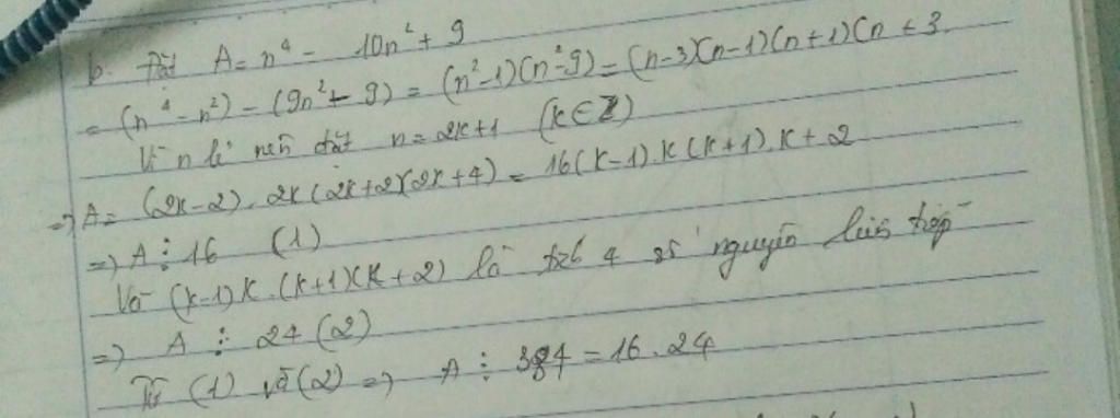
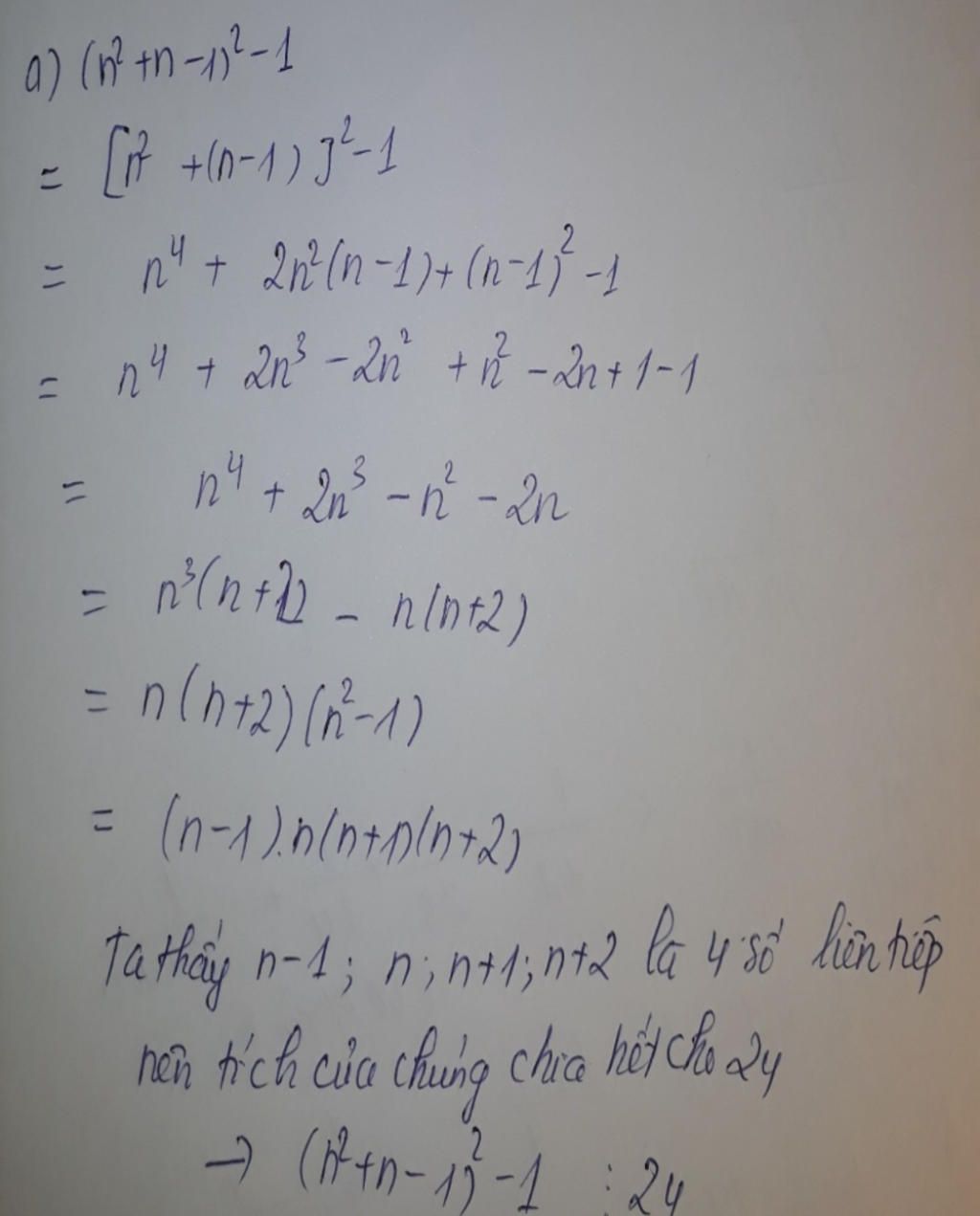
CMR: a) (n ² + n - 1) ² - 1 chia hết cho 24 với mọi n nguyên b) n ³ + 6n ² + 8n chia hết cho 48 với mọi số chẵn n c) $n^{4}$ - 10n ² + 9 chia hết cho 384 với

Câu hỏi :

CMR: a) (n ² + n - 1) ² - 1 chia hết cho 24 với mọi n nguyên b) n ³ + 6n ² + 8n chia hết cho 48 với mọi số chẵn n c) $n^{4}$ - 10n ² + 9 chia hết cho 384 với mọi số lẻ n

Lời giải 1 :

Mik xin 5* vs CTLHN nha bn mik c.ơn <3

 

image
image
image

Thảo luận

-- (16,24 ) khác 1 bạn nhé
-- 16 x 24 mà ;-;
-- uk đr
-- giờ A chia hết cho 16 và 24
-- thì cũng có thể A chia hết cho 48 mà
-- V bn c/m A chia hết 48 giúp mik vs ạ ;-;
-- à oke r bạn ko cần chỉnh sửa j âu
-- Vg ạ ;-;

Bạn có biết?

Toán học là môn khoa học nghiên cứu về các số, cấu trúc, không gian và các phép biến đổi. Nói một cách khác, người ta cho rằng đó là môn học về "hình và số". Theo quan điểm chính thống neonics, nó là môn học nghiên cứu về các cấu trúc trừu tượng định nghĩa từ các tiên đề, bằng cách sử dụng luận lý học (lôgic) và ký hiệu toán học. Các quan điểm khác của nó được miêu tả trong triết học toán. Do khả năng ứng dụng rộng rãi trong nhiều khoa học, toán học được mệnh danh là "ngôn ngữ của vũ trụ".

Nguồn : Wikipedia - Bách khoa toàn thư

Tâm sự 8

Lớp 8 - Năm thứ ba ở cấp trung học cơ sở, học tập bắt đầu nặng dần, sang năm lại là năm cuối cấp áp lực lớn dần nhưng các em vẫn phải chú ý sức khỏe nhé!

Nguồn : ADMIN :))

Liên hệ hợp tác hoặc quảng cáo: gmail

Điều khoản dịch vụ

Copyright © 2021 HOCTAPSGK