Trang chủ Toán Học Lớp 12 BÀI TẬP CHƯƠNG I– PHẦN GTLN và GTNN Câu 1....

BÀI TẬP CHƯƠNG I– PHẦN GTLN và GTNN Câu 1. Cho hàm số y=x-3x+2, chọn phương án đúng trong các phương án sau: A. max y = 2, min y = 0 20 B. max y = 4,min y

Câu hỏi :

M.n giúp em giải tỰ luận mấy câu này với ạ

image

Lời giải 1 :

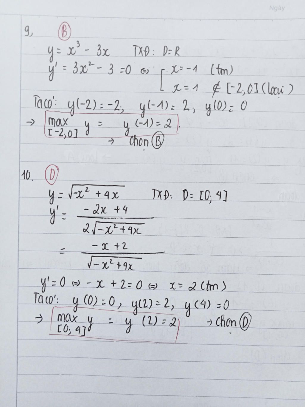
`1.bbB`

`y=x^3-3x+2`

TXĐ: `D=RR`

`y'=3x^2-3`

`y'=0<=>3x^2-3=0`

`<=>`\(\left[ \begin{array}{l}x=-1(tm)\\x=1∉[-2;0](loại)\end{array} \right.\) 

Ta có: `y(-2)=0;y(-1)=4;y(0)=2`

`->max_{[-2;0]}y=y(-1)=4;min_{[-2;0]}y=y(-2)=0`

`2.bbC`

`y=x^3-3x^2+2`

TXĐ: `D=RR`

`y'=3x^2-6x`

`y'=0<=>3x^2-6x=0`

`<=>`\(\left[ \begin{array}{l}x=2∉[-1;1](loại)\\x=0(tm)\end{array} \right.\) 

Ta có: `y(-1)=-2;y(0)=2;y(1)=0`

`->max_{[-1;1]}y=y(0)=2;min_{[-1;1]}y=y(-1)=-2`

`3.bbB`

`y=-x^3+3x+5`

TXĐ: `D=RR`

`y'=-3x^2+3`

`y'=0<=>-3x^2+3=0`

`<=>x=+-1`

o Trên đoạn `[0;2]` : `x=-1∉[0;2](loại)`

Ta có: `y(0)=5;y(1)=7;y(2)=3`

`->max_{[0;2]}y=y(1)=7;min_{[0;2]}y=y(2)=3`

o Trên đoạn `[-1;1]` : 

Ta có: `y(-1)=3;y(1)=7`

`->max_{[-1;1]}y=y(1)=7;min_{[-1;1]}y=y(-1)=3`

Chọn `bbB`

`4.bbB`

`y=(2x+1)/(x-1)`

TXĐ: `D=RR\\{1}`

`y'=(-3)/(x-1)^2<0;∀x∈D`

`->` Hàm số nghịch biến trên từng khoảng xác định.

Xét các đáp án:

o Trên đoạn `[-1;0]`

`max_{[-1;0]}y=y(-1)=1/2;min_{[-1;0]}y=y(0)=-1`

`->bbA`đúng.

o Trên đoạn `[-1;2]`

`max_{[-1;2]}y=y(-1)=1/2;min_{[-1;2]}y=y(2)=5`

`->bbB` sai.

o Trên đoạn `[-1;1]`

`max_{[-1;1]}y=y(-1)=1/2;`

`->bbC` đúng.

o Trên đoạn `[3;5]`

`max_{[3;5]}y=y(3)=7/2;min_{[3;5]}y=y(5)=11/4`

`->bbD` đúng.

Chọn `bbB`

`5.bbB`

`y=-x^3+3x^2-4`

TXĐ: `D=RR`

`y'=-3x^2+6x`

`y'=0<=>-3x^2+6x=0`

`<=>`\(\left[ \begin{array}{l}x=2\\x=0\end{array} \right.\) 

o Trên đoạn `[0;2]`: 

Ta có: `y(0)=-4;y(2)=0`

`->max_{[0;2]}y=y(2)=0;min_{[0;2]}y=y(0)=-4`

o Trên đoạn `[-1;1]`: `x=2∉[-1;1]` (loại)

Ta có: `y(-1)=0;y(1)=-2;y(0)=-4`

`->max_{[0;2]}y=y(-1)=0;min_{[0;2]}y=y(0)=-4`

Chọn `bbB`

 

image
image

Thảo luận

Bạn có biết?

Toán học là môn khoa học nghiên cứu về các số, cấu trúc, không gian và các phép biến đổi. Nói một cách khác, người ta cho rằng đó là môn học về "hình và số". Theo quan điểm chính thống neonics, nó là môn học nghiên cứu về các cấu trúc trừu tượng định nghĩa từ các tiên đề, bằng cách sử dụng luận lý học (lôgic) và ký hiệu toán học. Các quan điểm khác của nó được miêu tả trong triết học toán. Do khả năng ứng dụng rộng rãi trong nhiều khoa học, toán học được mệnh danh là "ngôn ngữ của vũ trụ".

Nguồn : Wikipedia - Bách khoa toàn thư

Tâm sự 12

Lớp 12 - Năm cuối ở cấp tiểu học, năm học quan trọng nhất trong đời học sinh trải qua bao năm học tập, bao nhiêu kì vọng của người thân xung quanh ta. Những nỗi lo về thi đại học và định hướng tương lai thật là nặng. Hãy tin vào bản thân là mình sẽ làm được rồi tương lai mới chờ đợi các em!

Nguồn : ADMIN :))

Liên hệ hợp tác hoặc quảng cáo: gmail

Điều khoản dịch vụ

Copyright © 2021 HOCTAPSGK