Trang chủ Toán Học Lớp 9 Mik dùng hết số điểm của mik có lun ùi...

Mik dùng hết số điểm của mik có lun ùi á mong các bn giúp mik với please á mai mik nộp ùi😖a.Rút gọn b.Tính giá trị của D khi Vx2 - = 0 c.Tìm giá trị của x khi

Câu hỏi :

Mik dùng hết số điểm của mik có lun ùi á mong các bn giúp mik với please á mai mik nộp ùi😖

image

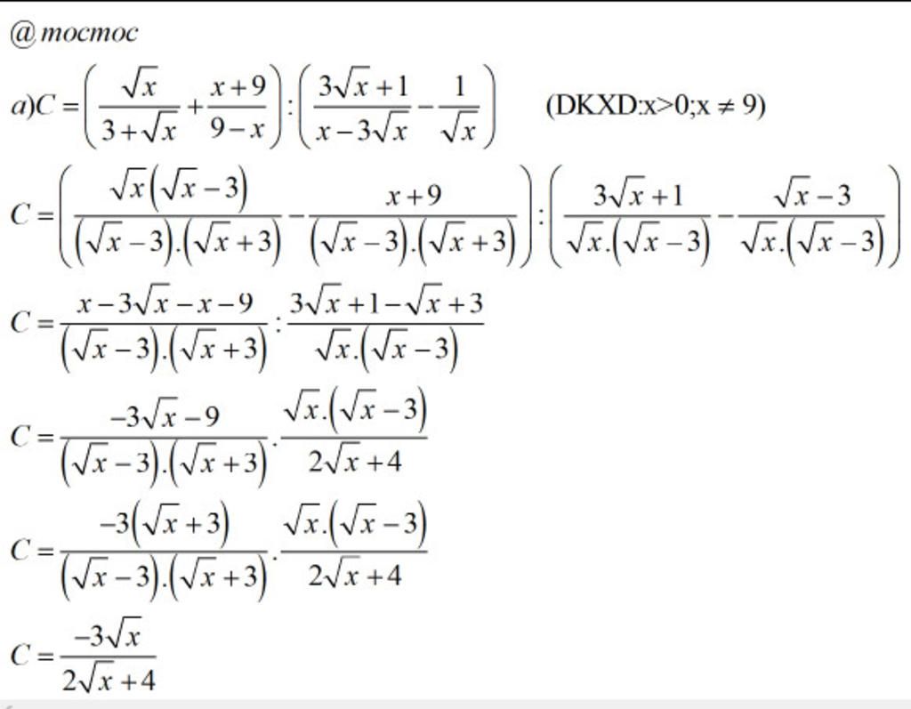
Lời giải 1 :

$@Mốc$

Mình trình bày trong hình ^^

$#chucbanhoctotnhe;333$

 

image
image

Thảo luận

-- Bạn ơi
-- Bạn có on ko dợ
-- Mik có đăng câu hỏi mới giúp mik với
-- Ọ để mk xem có làm đc khum nha ^^
-- Ui thanks bạn nhiều nhiều có mấy bạn cứ xem xg trả lời là ko almf đc
-- Mong bạn
-- Ok "???
-- :>>>

Lời giải 2 :

câu 16
image

Bạn có biết?

Toán học là môn khoa học nghiên cứu về các số, cấu trúc, không gian và các phép biến đổi. Nói một cách khác, người ta cho rằng đó là môn học về "hình và số". Theo quan điểm chính thống neonics, nó là môn học nghiên cứu về các cấu trúc trừu tượng định nghĩa từ các tiên đề, bằng cách sử dụng luận lý học (lôgic) và ký hiệu toán học. Các quan điểm khác của nó được miêu tả trong triết học toán. Do khả năng ứng dụng rộng rãi trong nhiều khoa học, toán học được mệnh danh là "ngôn ngữ của vũ trụ".

Nguồn : Wikipedia - Bách khoa toàn thư

Tâm sự 9

Lớp 9 - Là năm cuối ở cấp trung học cơ sở, sắp phải bước vào một kì thi căng thẳng và sắp chia tay bạn bè, thầy cô và cả kì vọng của phụ huynh ngày càng lớn mang tên "Lên cấp 3". Thật là áp lực nhưng các em hãy cứ tự tin vào bản thân là sẻ vượt qua nhé!

Nguồn : ADMIN :))

Liên hệ hợp tác hoặc quảng cáo: gmail

Điều khoản dịch vụ

Copyright © 2021 HOCTAPSGK