Trang chủ Hóa Học Lớp 8 Bài 4: Hòa tan hoàn toàn 12,1 g hỗn hợp...

Bài 4: Hòa tan hoàn toàn 12,1 g hỗn hợp gồm Fe và Zn cần vừa đủ 200ml dung dịch HCl 2M. a. Viết phương trình b. Tính tổng thể tích khí H2 sinh ra ở đktc c. Tí

Câu hỏi :

Bài 4: Hòa tan hoàn toàn 12,1 g hỗn hợp gồm Fe và Zn cần vừa đủ 200ml dung dịch HCl 2M. a. Viết phương trình b. Tính tổng thể tích khí H2 sinh ra ở đktc c. Tính CM các chất thu được sau phản ứng

Lời giải 1 :

Đáp án + giải thích các bước giải:

Bài `4:`

`a.`

Phương trình hóa học :

`Fe+2HCl \to FeCl_2+H_2↑`

`Zn+2HCl \to ZnCl_2+H_2↑`

`b.`

`n_{HCl}=0,2.2=0,4(mol)`

Theo phương trình hóa học :

`n_{H_2}=\frac{1}{2}.n_{HCl}=\frac{1}{2}.0,4=0,2(mol)`

` \to V_{H_2}(đktc)=0,2.22,4=4,48(l)`

`c.`

Gọi số mol của `Fe` và `Zn` lần lượt là `x(mol)` và `y(mol)`

Ta có hệ $:\begin{cases} 56.x+65.y=12,1\\x+y=0,2\\\end{cases}\to\begin{cases} n_{Fe}=x=0,1(mol)=n_{FeCl_2}\\n_{Zn}=y=0,1(mol)=n_{ZnCl_2}\\ \end{cases}$

`V_{\text{dd sau pứ}}=V_{HCl}=200(ml)=0,2(l)`

` \to CM_{FeCl_2}=CM_{ZnCl_2}=\frac{0,1}{0,2}=0,5(M)`

 

Thảo luận

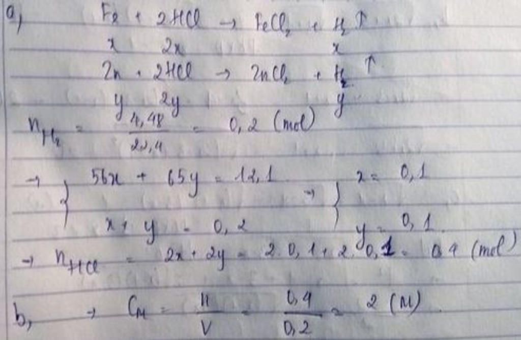
Lời giải 2 :

Đáp án + giải thích các bước giải : trong ảnh

 

image

Bạn có biết?

Hóa học, một nhánh của khoa học tự nhiên, là ngành nghiên cứu về thành phần, cấu trúc, tính chất, và sự thay đổi của vật chất.Hóa học nói về các nguyên tố, hợp chất, nguyên tử, phân tử, và các phản ứng hóa học xảy ra giữa những thành phần đó.Hóa học đôi khi được gọi là "khoa học trung tâm" vì nó là cầu nối các ngành khoa học tự nhiên khác như vật lý học, địa chất học và sinh học.

Nguồn : Wikipedia - Bách khoa toàn thư

Tâm sự 8

Lớp 8 - Năm thứ ba ở cấp trung học cơ sở, học tập bắt đầu nặng dần, sang năm lại là năm cuối cấp áp lực lớn dần nhưng các em vẫn phải chú ý sức khỏe nhé!

Nguồn : ADMIN :))

Liên hệ hợp tác hoặc quảng cáo: gmail

Điều khoản dịch vụ

Copyright © 2021 HOCTAPSGK