Trang chủ Toán Học Lớp 5 Cho hình bình hành ABCD. Gọi P là điểm chính...

Cho hình bình hành ABCD. Gọi P là điểm chính giữa của BC, Q là điểm chính giữa của DC, I là điểm thuộc đoạn DC sao cho DC = 3 IC. Hai đoạn PQ và BI cắt nhau ở

Câu hỏi :

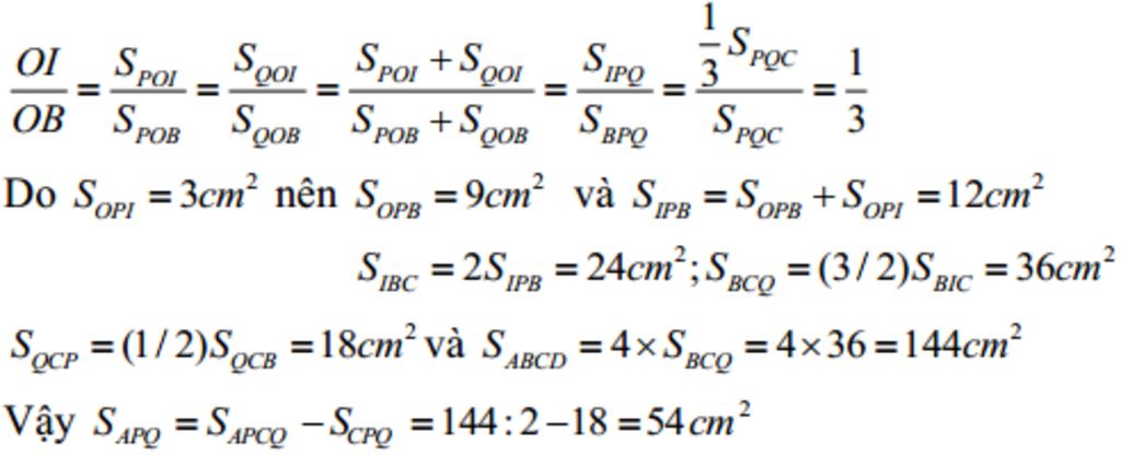
Cho hình bình hành ABCD. Gọi P là điểm chính giữa của BC, Q là điểm chính giữa của DC, I là điểm thuộc đoạn DC sao cho DC = 3 IC. Hai đoạn PQ và BI cắt nhau ở O. Tính diện tích tam giác APQ khi biết diện tích tam giác OPI bằng 3cm2

Lời giải 1 :

3IC = DC

PB = PC

QD = QC

$S_IPB$ = $\dfrac{1}{2}$$S_IBC$

$S_IBC$ = $\dfrac{1}{3}$$S_DBC$ = $\dfrac{1}{6}$$S_ABCD$

$\Rightarrow$ $S_IPB$ = $\dfrac{1}{12}$ $S_ABCD$

$S_IOP$ = $\dfrac{1}{4}$ $S_IBP$

$\Rightarrow$ $S_IOP$ = $\dfrac{1}{48}$ $S_ABCD$ = $3cm^{2}$ 

$\Rightarrow$ $S_ABCD$ = $144cm^{2}$ 

$S_ABP$ = $S_ABCD$ - $S_ADQ$ - $S_APB$ - $S_DPC$

= $S_ABCD$ - $\frac{1}{4}$$S_ABCD$ - $\frac{1}{4}$$S_ABCD$ - $\frac{1}{8}$$S_ABCD$

= $\frac{3}{8}$$S_ABCD$ = $54cm^{2}$  

 

image

Thảo luận

-- LẠI LÀ MÌNH ĐÂY
-- ????
-- bạn là ai???
-- TUYỂN THÀNH VIÊN COMMENT DẠO 🥰
-- là sao???
-- mk ko rảnh nói chuyện với bạn Mk còn tl nhiều bài nữa
-- Khóa rồi còn trl j nữa :"))

Lời giải 2 :

CHÚC HỌC TỐT

Đấy là bài giải và hình

 

image
image

Bạn có biết?

Toán học là môn khoa học nghiên cứu về các số, cấu trúc, không gian và các phép biến đổi. Nói một cách khác, người ta cho rằng đó là môn học về "hình và số". Theo quan điểm chính thống neonics, nó là môn học nghiên cứu về các cấu trúc trừu tượng định nghĩa từ các tiên đề, bằng cách sử dụng luận lý học (lôgic) và ký hiệu toán học. Các quan điểm khác của nó được miêu tả trong triết học toán. Do khả năng ứng dụng rộng rãi trong nhiều khoa học, toán học được mệnh danh là "ngôn ngữ của vũ trụ".

Nguồn : Wikipedia - Bách khoa toàn thư

Tâm sự 5

Lớp 5 - Là năm cuối cấp tiểu học, áp lực thi cử nhiều mà sắp phải xa trường lớp, thầy cô, ban bè thân quen. Đây là năm mà các em sẽ gặp nhiều khó khăn nhưng các em đừng lo nhé mọi chuyện sẽ tốt lên thôi !

Nguồn : ADMIN :))

Liên hệ hợp tác hoặc quảng cáo: gmail

Điều khoản dịch vụ

Copyright © 2021 HOCTAPSGK