Trang chủ Toán Học Lớp 5 4. a) X x 17,7 – 7,7 x X =...

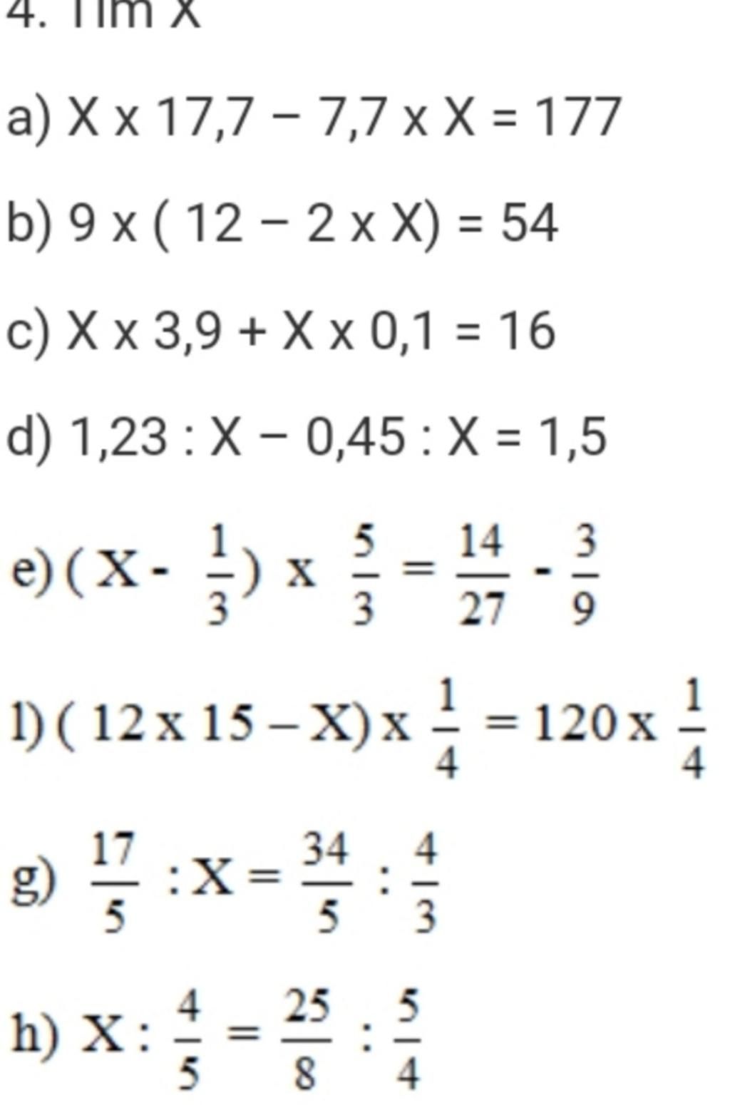
4. a) X x 17,7 – 7,7 x X = 177 b) 9 x ( 12 – 2 x X) = 54 c) X x 3,9 + X x 0,1 = 16 d) 1,23 :X – 0,45 :X = 1,5 14 3 e) (X- -) x 27 9 1) ( 12 x 15 – X)x = 12

Câu hỏi :

Giúp mình nhanh nhé.thanks

image

Lời giải 1 :

Đáp án:

 xem bên dưới nhé 

Giải thích các bước giải:

 a) Xx17,7-7,7xX=177

     Xx(17,7-7,7)=177

     Xx10=177

     X=177:10

     X=17,7

b) 9x(12-2xX)=54

     12-2xX=54:9

     12-2xX=6

     2xX=12-6

     2xX=6

     X=6:2

     X=3

c)Xx3,9+Xx0,1=16

   Xx(3,9+0,1)=16

   Xx4=16

   X=16:4

   X=4

d) 1,23:X-0,45:X=1,5

     X:(1,23-0,45)=1,5

     X:0,78=1,5

     X=1,5x0,78

     X=1,17

e) (X-`1/3`)x`5/3`=`14/27`-`3/9`

     (X-`1/3`)x`5/3`=`5/27`

       X-`1/3`=`5/27`:`5/3`

        X-`1/3`=`1/9`

        X=`1/9`+`1/3`

        X=`4/9`

l)(12x15-X)x`1/4`=120x`1/4` (Ta có thể thấy hai vế đều có `1/4` giống nhau nên 12x15-X=120)

    12x15-X=120

     180-X=120

              X=180-120

              X=60

g) `17/5`:X=`34/5`:`4/3`

      `17/5`:X=`51/10`

                 X=`17/5`:`51/10`

                  X=`2/3`

h) X:`4/5`=`25/8`:`5/4`

    X:`4/5`=`5/2`

    X         =`5/2`x`4/5`

    X          =2

   

Thảo luận

Lời giải 2 :

Đáp án + Giải thích các bước giải:

Mk làm tắt để bạn nhìn rõ và trình bày dễ dàng hơn nha

Nếu phần nào không hiểu bạn cứ việc bình luận hỏi mk

CHÚC BN HỌC TỐT 

image

Bạn có biết?

Toán học là môn khoa học nghiên cứu về các số, cấu trúc, không gian và các phép biến đổi. Nói một cách khác, người ta cho rằng đó là môn học về "hình và số". Theo quan điểm chính thống neonics, nó là môn học nghiên cứu về các cấu trúc trừu tượng định nghĩa từ các tiên đề, bằng cách sử dụng luận lý học (lôgic) và ký hiệu toán học. Các quan điểm khác của nó được miêu tả trong triết học toán. Do khả năng ứng dụng rộng rãi trong nhiều khoa học, toán học được mệnh danh là "ngôn ngữ của vũ trụ".

Nguồn : Wikipedia - Bách khoa toàn thư

Tâm sự 5

Lớp 5 - Là năm cuối cấp tiểu học, áp lực thi cử nhiều mà sắp phải xa trường lớp, thầy cô, ban bè thân quen. Đây là năm mà các em sẽ gặp nhiều khó khăn nhưng các em đừng lo nhé mọi chuyện sẽ tốt lên thôi !

Nguồn : ADMIN :))

Liên hệ hợp tác hoặc quảng cáo: gmail

Điều khoản dịch vụ

Copyright © 2021 HOCTAPSGK