Trang chủ Toán Học Lớp 9 |的進一张。 Vx 3x +3 Jx +3 x- 3 x-9 2x...

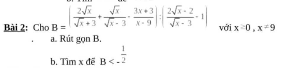
|的進一张。 Vx 3x +3 Jx +3 x- 3 x-9 2x - 2 Jx-3 Bài 2: Cho B = với x0 , x+9 a. Rút gọn B. 1 b. Tìm x để B<-2

Câu hỏi :

Giúp mình đi 40đ!!! Phần b kia là -1/2 nhé

image

Lời giải 1 :

Đáp án+Giải thích các bước giải:

 `a)`

Với `x>=0;x\ne9`

Ta có:

`B=((2\sqrtx)/(\sqrtx+3)+\sqrtx/(\sqrtx-3)-(3x+3)/(x-9)):((2\sqrtx-2)/(\sqrtx-3)-1)`

`=((2\sqrtx)/(\sqrtx+3)+\sqrtx/(\sqrtx-3)-(3x+3)/((\sqrtx-3)(\sqrtx+3))):(2\sqrtx-2-(\sqrtx-3))/(\sqrtx-3)`

`=(2\sqrtx(\sqrtx-3)+\sqrtx(\sqrtx+3)-(3x+3))/((\sqrtx-3)(\sqrtx+3)):(2\sqrtx-2-\sqrtx+3)/(\sqrtx-3)`

`=(2x-6\sqrtx+x+3\sqrtx-3x-3)/((\sqrtx-3)(\sqrtx+3)):(\sqrtx+1)/(\sqrtx-3)`

`=((2x+x-3x)+(-6\sqrtx+3\sqrtx)-3)/((\sqrtx-3)(\sqrtx+3)).(\sqrtx-3)/(\sqrtx+1)`

`=(-3\sqrtx-3)/(\sqrtx+3).(1)/(\sqrtx+1)`

`=(-3(\sqrtx+1))/(\sqrtx+3).(1)/(\sqrtx+1)`

`=-3/(\sqrtx+3)`

Vậy với `x>=0;x\ne9` thì `B=-3/(\sqrtx+3)`

`b)`

`B=-3/(\sqrtx+3)`

`⇒B<(-1)/2`

`⇔-3/(\sqrtx+3)+1/2<0`

`⇔(-3.2+\sqrtx+3)/(2(\sqrtx+3))<0`

`⇔(\sqrtx-6+3)/(2(\sqrtx+3))<0`

`⇔(\sqrtx-3)/(2(\sqrtx+3))<0`

Vì `x>=0`

`⇒\sqrtx>=0`

`⇒\sqrtx+3>0`

`⇒2(\sqrtx+3)>0`

`⇒\sqrtx-3<0`

`⇒\sqrtx<3`

`⇒x<9`

Kết hợp với điều kiện xác định: `0<=x<9`

Vậy `0<=x<9` để `B<(-1)/2`

Thảo luận

-- ;;-;;
-- Bạn không hiểu chỗ nào vậy ạ ?
-- Thôi mình có thể tham khảo phần b bạn dưới cx đc ,bạn xem hộ mình bạn dưới làm đúng phần b ko ạ?
-- cậu ơi có chỗ tớ chưa hiểu
-- Bạn không hiểu chỗ nào ạ ?
-- cái đoạn 2 nhân căn x + 3 > 0 sao lại suy ra đc căn x - 3 < 0 ạ
-- Vì `2(\sqrtx+3)>0` nên để `(\sqrtx-3)/(2(\sqrtx+3))<0` thì `\sqrtx-3<0`
-- ok cảm ơn bạn

Lời giải 2 :

`a.``((2\sqrt{x})/(\sqrt{x}+3)+\sqrt{x}/(\sqrt{x}-3)-(3x+3)/(x-9)):((2\sqrt{x}-2)/(\sqrt{x}-3)-1)`
`=((2\sqrt{x}(\sqrt{x}-3)+\sqrt{x}(\sqrt{x}+3))/(x-9)-(3x+3)/(x-9)):(2\sqrt{x}-2-\sqrt{x}+3)/(\sqrt{x}-3)`
`=(2x-6\sqrt{x}+x+3\sqrt{x}-3x-3)/(x-9).(\sqrt{x}-3)/(\sqrt{x}+1)`
`=(-3\sqrt{x}-3)/((\sqrt{x}-3)(\sqrt{x}+3)).(\sqrt{x}-3)/(\sqrt{x}+1)`
`=(-3(\sqrt{x}+1))/((\sqrt{x}+3)(\sqrt{x}+1))`
`=(-3)/(\sqrt{x}+3)`

`b.B<-1/2`

`->(-3)/(\sqrt{x}+3)<-1/2`
`->(-3)/(\sqrt{x}+3)+1/2<0`
`->(-6+\sqrt{x}+3)/(2(\sqrt{x}+3))<0`
Vì `2(\sqrt{x}+3)>0`
`->\sqrt{x}-3<0`
`->\sqrt{x}<3`
`->x<9`
Vậy `0lex<9` thì `B<-1/2`

 

Bạn có biết?

Toán học là môn khoa học nghiên cứu về các số, cấu trúc, không gian và các phép biến đổi. Nói một cách khác, người ta cho rằng đó là môn học về "hình và số". Theo quan điểm chính thống neonics, nó là môn học nghiên cứu về các cấu trúc trừu tượng định nghĩa từ các tiên đề, bằng cách sử dụng luận lý học (lôgic) và ký hiệu toán học. Các quan điểm khác của nó được miêu tả trong triết học toán. Do khả năng ứng dụng rộng rãi trong nhiều khoa học, toán học được mệnh danh là "ngôn ngữ của vũ trụ".

Nguồn : Wikipedia - Bách khoa toàn thư

Tâm sự 9

Lớp 9 - Là năm cuối ở cấp trung học cơ sở, sắp phải bước vào một kì thi căng thẳng và sắp chia tay bạn bè, thầy cô và cả kì vọng của phụ huynh ngày càng lớn mang tên "Lên cấp 3". Thật là áp lực nhưng các em hãy cứ tự tin vào bản thân là sẻ vượt qua nhé!

Nguồn : ADMIN :))

Liên hệ hợp tác hoặc quảng cáo: gmail

Điều khoản dịch vụ

Copyright © 2021 HOCTAPSGK