Trang chủ Toán Học Lớp 6 Bài 2. (2 điểm) Tìm số tự nhiên x, biết...

Bài 2. (2 điểm) Tìm số tự nhiên x, biết rằng : 70 x; 84 x và x> 7. Bài 3. (2 điểm) Số học sinh của lớp 6A khi xếp hàng 2, hàng 3 và hàng 4 thì vừa đủ. Tính

Câu hỏi :

giúp mình với mình cho 5 sao

image

Lời giải 1 :

~Bạn tham khảo~

Bài 2:

70 ⋮ x, 84 ⋮ x và x > 7

Vì 70 ⋮ x, 84 ⋮ x nên x ∈ ƯC(70; 84)

Ta có: 70 = 2. 5. 7  

          84 = 22. 3. 7

ƯCLN(70; 84) = 2 . 7 = 14

ƯC (70; 84) = {1; 2; 7; 14}

Vì x > 7 nên x = 14

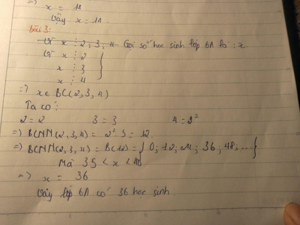
Bài 2:   giải

Gọi số học sinh lớp 6A là a

Vì số học sinh lớp 6A khi xếp hàng 2 ; 3; 4 thì vừa đủ

→a chia hết cho 2 ;3; 4

→a là bội chung của 2, 3, 4, 
BCNN (2, 3, 4) = 12.

Mỗi bội của 12 cũng là một bội chung của 2, 3, 4.

Vì số học sinh của lớp 6A trong khoảng 35 đến 45 nên ta phải chọn bội của 24 thỏa mãn điều kiện này.

Đó là 12 . 3 = 36

Vậy lớp 6A có 36 em.

Bài 4:

Gọi thương và số chia lần lượt là y; x

Ta có:

`x` `xx` `y`+7 =62

→`x` `xx` `y`=62-7= 55

Do y > 7 vì số dư là 7

→x=5 , y=11

Vậy số chia là 11

       thương là 5

 

Thảo luận

-- uk
-- rồi bạn nhed
-- mik sửa r
-- uk
-- cho mik xin 5 sa0+ cảm ơn nhé
-- mấy bài kia bạn chắc ko
-- chắc nhé, nếu ko bạn thử lại đuy
-- uk

Lời giải 2 :

   Gửi bạn !
 Đáp án + giải thích

 

image
image
image

Bạn có biết?

Toán học là môn khoa học nghiên cứu về các số, cấu trúc, không gian và các phép biến đổi. Nói một cách khác, người ta cho rằng đó là môn học về "hình và số". Theo quan điểm chính thống neonics, nó là môn học nghiên cứu về các cấu trúc trừu tượng định nghĩa từ các tiên đề, bằng cách sử dụng luận lý học (lôgic) và ký hiệu toán học. Các quan điểm khác của nó được miêu tả trong triết học toán. Do khả năng ứng dụng rộng rãi trong nhiều khoa học, toán học được mệnh danh là "ngôn ngữ của vũ trụ".

Nguồn : Wikipedia - Bách khoa toàn thư

Tâm sự 6

Lớp 6 - Là năm đầu tiên của cấp trung học cơ sở. Được sống lại những khỉ niệm như ngày nào còn lần đầu đến lớp 1, được quen bạn mới, ngôi trường mới, một tương lai mới!

Nguồn : ADMIN :))

Liên hệ hợp tác hoặc quảng cáo: gmail

Điều khoản dịch vụ

Copyright © 2021 HOCTAPSGK