Trang chủ Toán Học Lớp 7 hiệp. ở đó) Bai 4: calm. m lln go th...

hiệp. ở đó) Bai 4: calm. m lln go th tong 60A ài, cur 76 C 107

Câu hỏi :

giải hộ em với ạ em cảm ơn!!!

image

Lời giải 1 :

Đáp án + Giải thích các bước giải:

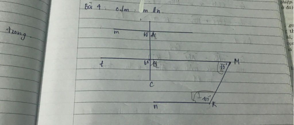
 Ta có:

`hat{A_{1}} = hat{B_{1}} = 60^o`

Mà `2` góc này ở vị trí đồng vị nên: `m //// t (1)`

Lại có:

`hat{M_{1}} + hat{K_{1}} = 75^o + 105^o = 180^o`

Mà `2` góc này ở vị trí trong cùng phía bù nhau nên: `n //// t (2)`

Từ `(1)` và `(2)` suy ra `m //// n`

 

image

Thảo luận

Lời giải 2 :

$\\$

Có : `hat{MAB}=60^o, hat{tBC}=60^o`

`-> hat{MAB}=hat{tBC}=60^o`

mà 2 góc này ở vị trí đồng vị

$→ m//t$ (Dấu hiệu nhận biết 2 đường thẳng song song)

Ta xét tổng `hat{BMK}` và `hat{MKn}`

`-> hat{BMK}+hat{MKn}=75^o + 105^o=180^o`

mà 2 góc này ở vị trí trong cùng phía

$→ n//t$ (Dấu hiệu nhận biết 2 đường thẳng song song)

Có : $\begin{cases} m//t\\n//t \end{cases}$ (chứng minh trên)

$→ m//n$ (Quan hệ từ vuông góc đến song song)

Vậy $m//n$

 

Bạn có biết?

Toán học là môn khoa học nghiên cứu về các số, cấu trúc, không gian và các phép biến đổi. Nói một cách khác, người ta cho rằng đó là môn học về "hình và số". Theo quan điểm chính thống neonics, nó là môn học nghiên cứu về các cấu trúc trừu tượng định nghĩa từ các tiên đề, bằng cách sử dụng luận lý học (lôgic) và ký hiệu toán học. Các quan điểm khác của nó được miêu tả trong triết học toán. Do khả năng ứng dụng rộng rãi trong nhiều khoa học, toán học được mệnh danh là "ngôn ngữ của vũ trụ".

Nguồn : Wikipedia - Bách khoa toàn thư

Tâm sự 7

Lớp 7 - Năm thứ hai ở cấp trung học cơ sở, một cuồng quay mới lại đến vẫn bước tiếp trên đường đời học sinh. Học tập vẫn là nhiệm vụ chính!

Nguồn : ADMIN :))

Liên hệ hợp tác hoặc quảng cáo: gmail

Điều khoản dịch vụ

Copyright © 2021 HOCTAPSGK