Trang chủ Toán Học Lớp 7 Giúp mik vác mọi người ơi, mấy bạn giúp mik...

Giúp mik vác mọi người ơi, mấy bạn giúp mik ik! Mik sắp phải nộp òi 🥺🥺🥺 câu hỏi 2258822 - hoctapsgk.com

Câu hỏi :

Giúp mik vác mọi người ơi, mấy bạn giúp mik ik! Mik sắp phải nộp òi 🥺🥺🥺

image

Lời giải 1 :

$\\$

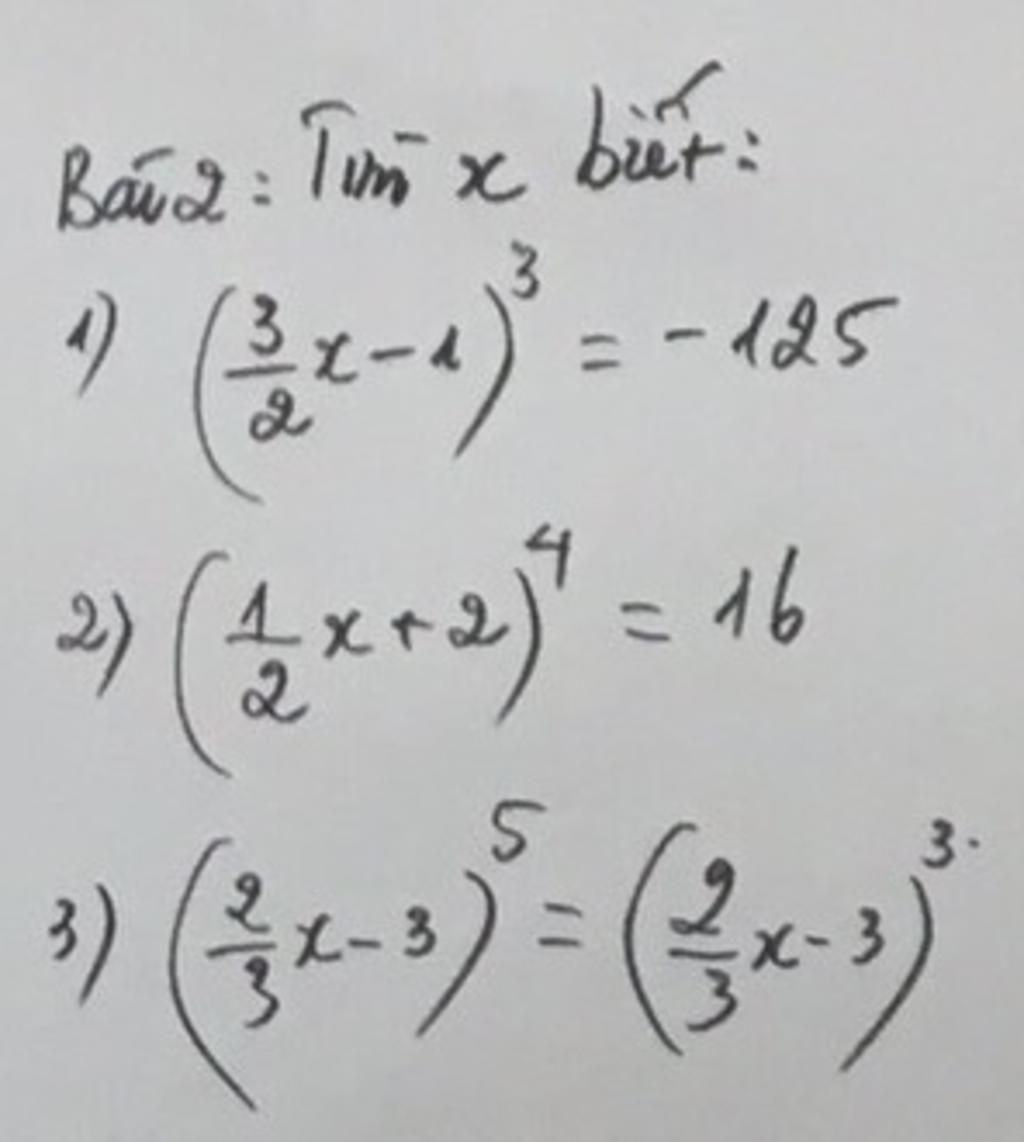
`1,`

`(3/2 x - 1)^3 = -125`

`-> (3/2 x-1)^3=(-5)^3`

`-> 3/2 x - 1=-5`

`-> 3/2 x = -5+1`

`-> 3/2 x = -4`

`->x=-4 : 3/2`

`->x=(-8)/3`

Vậy `x=(-8)/3`

$\\$

`2,`

`(1/2x + 2)^4 = 16`

Trường hợp 1 :

`-> (1/2 x +2)^4 = 2^4`

`-> 1/2x + 2=2`

`-> 1/2x = 2-2`

`-> 1/2x =0`

`->x=0: 1/2`

`->x=0`

Trường hợp 2 :

`-> (1/2x +2)^4=(-2)^4`

`-> 1/2x + 2=-2`

`->1/2 x=-2-2`

`-> 1/2x=-4`

`->x=-4 : 1/2`

`->x=-8`

Vậy `x=0` hoặc `x=-8`

$\\$

`3,`

`(2/3x  -3)^5 = (2/3 x-3)^3`

`-> (2/3 x-3)^5 - (2/3 x - 3)^3=0`

`-> (2/3 x-3)^3 . (2/3 x - 3)^2 - (2/3x - 3)^3=0`

`-> (2/3 x-3)^3 .[(2/3 x - 3)^2 - 1]=0`

Trường hợp 1 :

`-> (2/3 x-3)^3=0`

`-> 2/3x -3=0`

`->2/3 x=0+3`

`-> 2/3 x=3`

`->x=3 : 2/3`

`->x=9/2`

Trường hợp 2 :

`-> (2/3 x - 3)^2-1=0`

`-> (2/3x -3)^2=0+1`

`-> (2/3x - 3)^2=1`

`-> (2/3 x-3)^2=1^2` hoặc `(2/3 x-3)^2=(-1)^2`

`-> 2/3x - 3=1` hoặc `2/3 x-3=-1`

`-> 2/3x=1+3` hoặc `2/3x=-1+3`

`-> 2/3x=4` hoặc `2/3x=2`

`->x=4:2/3` hoặc `x=2:2/3`

`->x=6` hoặc `x=3`

Vậy `x=9/2,x=6,x=3`

Thảo luận

Lời giải 2 :

1.(3/2x-1)³=-125 (3/2x-1)³=(-5)³ =>3/2x-1=-5 3/2x=-5+1 3/2x=-4 x=-4÷3/2 x=-4×2/3 x=-8/3 b)(1/2x+2)⁴=16 (1/2x+2)⁴=(±2)⁴ =>1/2x+2=±2 TH1:1/2x+2=2 1/2x=0 =>x=0 TH2:1/2x+2=-2 1/2x=-4 x=-4÷1/2 x=-8

Bạn có biết?

Toán học là môn khoa học nghiên cứu về các số, cấu trúc, không gian và các phép biến đổi. Nói một cách khác, người ta cho rằng đó là môn học về "hình và số". Theo quan điểm chính thống neonics, nó là môn học nghiên cứu về các cấu trúc trừu tượng định nghĩa từ các tiên đề, bằng cách sử dụng luận lý học (lôgic) và ký hiệu toán học. Các quan điểm khác của nó được miêu tả trong triết học toán. Do khả năng ứng dụng rộng rãi trong nhiều khoa học, toán học được mệnh danh là "ngôn ngữ của vũ trụ".

Nguồn : Wikipedia - Bách khoa toàn thư

Tâm sự 7

Lớp 7 - Năm thứ hai ở cấp trung học cơ sở, một cuồng quay mới lại đến vẫn bước tiếp trên đường đời học sinh. Học tập vẫn là nhiệm vụ chính!

Nguồn : ADMIN :))

Liên hệ hợp tác hoặc quảng cáo: gmail

Điều khoản dịch vụ

Copyright © 2021 HOCTAPSGK