Trang chủ Toán Học Lớp 9 Bài 7. Giải phương trình: a) Vx+9 = 3; -6x...

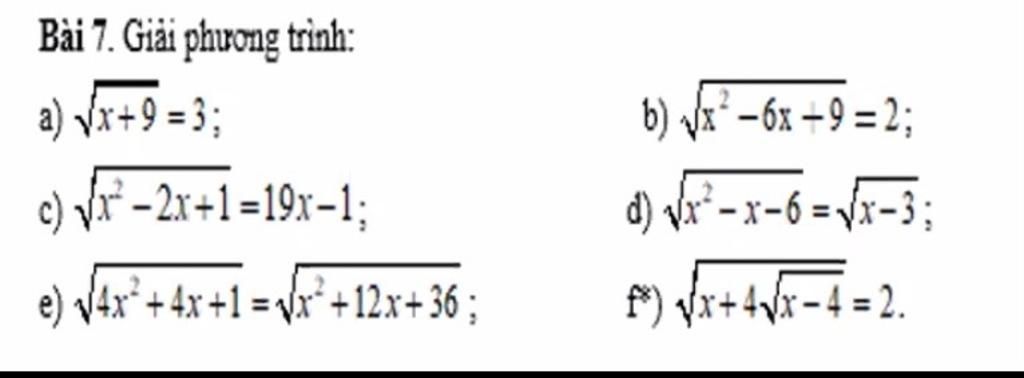
Bài 7. Giải phương trình: a) Vx+9 = 3; -6x +9 = 2; c) Vr – 2x+1=19x-1; d) Vx² - x-6 = /x- e) V4x* + 4x +1 = Vx° +12x+36 ; f*) yx+4\x -4 = 2.

Câu hỏi :

Giúp mình với các bạn ;w;

image

Lời giải 1 :

Đáp án+Giải thích các bước giải:

 a, $\sqrt{x + 9}$ = 3   (ĐKXĐ : x ≥ - 9)

⇒ x + 9 = 9

⇔ x  = 0   (tmđk)

d, $\sqrt{x² - x - 6}$ = $\sqrt{x - 3}$      (ĐKXĐ : x ≥ 3)

⇒ x² - x - 6 = x - 3

⇔ x² - 2x - 3 = 0

⇔ (x - 3).(x + 1) = 0

⇔ x = 3   (tmđk)

hoặc x = - 1(loại)

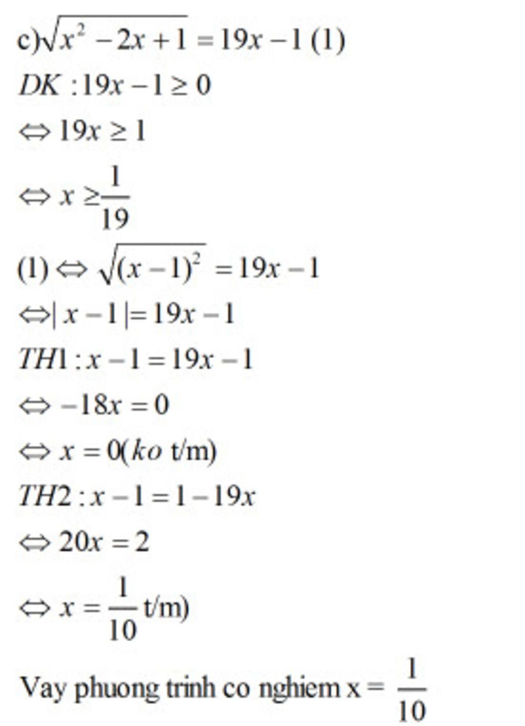
c, $\sqrt{x² - 2x + 1}$ = 19x - 1

$\sqrt{(x - 1)²}$ = 19x - 1       

|x - 1|  = 19x - 1

TH1 : x - 1 = 19x - 1   nếu x ≥ 1

⇔  18x   = 0 

⇔     x    = 0   (loại)

TH2 : 1 - x = 19x - 1   nếu x < 1

⇔  20x   = 2

⇔     x    = $\dfrac{1}{10}$  (tmđk)

b,  $\sqrt{x² - 6x + 9}$ = 2

⇔ $\sqrt{(x - 3)²}$ = 2

⇔ |x - 3|  = 2

TH1 : x - 3 = 2    nếu x ≥ 3

⇔  x = 5   (tmđk)

TH2 :  3 - x = 2    nếu x < 3

⇔   x = 1   (tmđk)

e, $\sqrt{4x² + 4x + 1}$ = $\sqrt{x² + 12x + 36}$

⇒ 4x² + 4x + 1 = x² + 12x +36

⇔ 3x² - 8x - 35 = 0

⇔ (x - 5).(3x + 7) = 0

⇔ x = 5 

hoặc x = $\dfrac{-7}{3}$

f,  $\sqrt{x + 4\sqrt{x - 4}}$ = 2    (ĐKXĐ : x ≥ 4 )

⇔ $\sqrt{x - 4 + 4\sqrt{x - 4} + 4}$ = 2

⇔ $\sqrt{(\sqrt{x - 4} + 2)²}$ = 2

⇔ |$\sqrt{x - 4}$ + 2| = 2

⇔  $\sqrt{x - 4}$ + 2 = 2

⇔ $\sqrt{x - 4}$ = 0

⇒ x - 4 = 0

⇔ x = 4 (tmđk)

Thảo luận

-- bài j khó z
-- khó à cho bài khác
-- :"I want lots of people to come to my birthday party." My brother said to me Câu 2: "Can i borrow your Phone, Mina?"Mina 's colleague asked her
-- tí lm nhá đợi ăn ik rửa bát
-- uh
-- Đề bài chuyển sang câu gián tiếp
-- 1.My brother told me that he wanted lots of people to come to his birthday party . 2.Mina 's colleague asked her if he could borrow her phone *Cấu trúc : Câu tường thuật : S + asked + tân ngữ + if/wether + S + V(lùi thì).... S + told + tân ngữ + th... xem thêm
-- mình làm 5 câu rồi

Lời giải 2 :

$@Mốc$

ĐKXĐ là biểu thức trong ngoặc lớn hơn hoặc bằng $0$

Khi biểu thức trong ngoặc là hằng đẳng thức $(A+B)^{2}$ hoặc $(A-B)^{2}$ thì nó nghiễm nhiên lớn hơn hoặc bằng $0$ nên không cần ĐKXĐ ở cụm đó.

Như câu c,d,e thì căn bậc 2 của .... lại bằng một đa thức nữa nên ta lại có ĐKXĐ để cho cái đa thức đó lớn hơn hoặc = 0

$#chucbanhoctotnhe;333$

image
image
image
image
image

Bạn có biết?

Toán học là môn khoa học nghiên cứu về các số, cấu trúc, không gian và các phép biến đổi. Nói một cách khác, người ta cho rằng đó là môn học về "hình và số". Theo quan điểm chính thống neonics, nó là môn học nghiên cứu về các cấu trúc trừu tượng định nghĩa từ các tiên đề, bằng cách sử dụng luận lý học (lôgic) và ký hiệu toán học. Các quan điểm khác của nó được miêu tả trong triết học toán. Do khả năng ứng dụng rộng rãi trong nhiều khoa học, toán học được mệnh danh là "ngôn ngữ của vũ trụ".

Nguồn : Wikipedia - Bách khoa toàn thư

Tâm sự 9

Lớp 9 - Là năm cuối ở cấp trung học cơ sở, sắp phải bước vào một kì thi căng thẳng và sắp chia tay bạn bè, thầy cô và cả kì vọng của phụ huynh ngày càng lớn mang tên "Lên cấp 3". Thật là áp lực nhưng các em hãy cứ tự tin vào bản thân là sẻ vượt qua nhé!

Nguồn : ADMIN :))

Liên hệ hợp tác hoặc quảng cáo: gmail

Điều khoản dịch vụ

Copyright © 2021 HOCTAPSGK