Trang chủ Toán Học Lớp 9 Bài 3: Giải các phương trình sau: a) 3.x-48 0;...

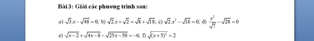
Bài 3: Giải các phương trình sau: a) 3.x-48 0; b) 2x+ 2 =8+ 18; c) 2.x - 18 = 0; d) 28 0 e) Vx-2+ 4x-8-25x-50 =-6; f) (x+5) = 2 %3D

Câu hỏi :

Làm cho mình câu 3 nha Mik cần gấp

image

Lời giải 1 :

$a) \sqrt{3}x-\sqrt{48}=0$

$⇔\sqrt{3}(x-\sqrt{16})=0$

$⇔x-4=0$

$⇔x=4$

Vậy $S=\{ 4 \}$

$b) \sqrt{2}x+\sqrt{2}=\sqrt{8}$

$⇔\sqrt{2}(x+1)=\sqrt{8}$

$⇔x+1=\sqrt{4}$

$⇔x+1=2$

$⇔x=1$

Vậy $S=\{ 1 \}$

$c) \sqrt{2}x^2-\sqrt{18}=0$

$⇔\sqrt{2}(x^2-\sqrt{9})=0$

$⇔x^2-3=0$

$⇔x^2=3$

$⇔x=±\sqrt{3}$

$d) \dfrac{x^2}{\sqrt{7}}-\sqrt{28}=0$

$⇔\dfrac{x^2}{\sqrt{7}}-\dfrac{2\sqrt{7}.\sqrt{7}}{\sqrt{7}}=0$

$⇔x^2-14=0$

$⇔x^2=14$

$⇔x=±\sqrt{14}$

$e) \sqrt{x-2}+\sqrt{4x-8}-\sqrt{25x-50}=-6 ( x \geq 2)$

$⇔\sqrt{x-2}+\sqrt{4(x-2)}-\sqrt{25(x-2)}=-6$

$⇔\sqrt{x-2}+2\sqrt{x-2}-5\sqrt{x-2}=-6$

$⇔-2\sqrt{x-2}=-6$

$⇔\sqrt{x-2}=3$

$⇔x-2=9$

$⇔x=11$

$f) \sqrt{(x+5)^2}=2$

$⇔|x+5|=2$

$⇔\left[ \begin{array}{1}x+5=2\\x+5=-2\end{array} \right. ⇔\left[ \begin{array}{1}x=-3\\x=-7\end{array} \right.$

 

Thảo luận

-- Mình cảm ơn ạ 😓

Lời giải 2 :

Đáp án+Giải thích các bước giải:

`a)\sqrt{3}.x-\sqrt{48}=0`

`<=>\sqrt{3}.x-\sqrt{16*3}=0`

`<=> \sqrt{3}.x-4\sqrt{3}=0`

`<=> \sqrt{3}(x-4)=0`

`<=> x-4=0`

`<=> x=4`

Vậy `S={4}`

`b)\sqrt{2}x+\sqrt{2}=\sqrt{8}+\sqrt{18}`

`<=>\sqrt{2}x+\sqrt{2}=\sqrt{4*2}+\sqrt{9*2}`

`<=> \sqrt{2}x+\sqrt{2}=2\sqrt{2}+3\sqrt{2}`

`<=> \sqrt{2}x+\sqrt{2}-2\sqrt{2}-3\sqrt{2}=0`

`<=> \sqrt{2}x-4\sqrt{2}=0`

`<=> x-4=0`

`<=> x=4`

Vậy `S={4}`

`c)\sqrt{2}x^2-\sqrt{18}=0`

`<=>\sqrt{2}x^2-\sqrt{9*2}=0`

`<=> \sqrt{2}x^2-3\sqrt{2}=0`

`<=> \sqrt{2}(x^2-3)=0`

`<=> x^2-3=0`

`<=> x^2=3`

`<=> x=±\sqrt{3}`

Vậy `S={±\sqrt{3}}`

`d)x^2/\sqrt{7}-\sqrt{28}=0`

`<=>(\sqrt{7}x^2)/7-2\sqrt{7}=0`

`<=> \sqrt{7}(x^2/7-2)=0`

`<=> x^2/7-2=0`

`<=> x^2/7=2`

`<=> x^2=14`

`<=> x=±\sqrt{14}`

Vậy `S={±\sqrt{14}}`

`e)\sqrt{x-2}+\sqrt{4x-8}-\sqrt{25x-50}=-6`  (`ĐK : x≥2`)

`<=>\sqrt{x-2}+\sqrt{4(x-2)}-\sqrt{25(x-2)}=-6`

`<=> \sqrt{x-2}+2\sqrt{x-2}-5\sqrt{x-2}=-6`

`<=> -2\sqrt{x-2}=-6`

`<=> \sqrt{x-2}=3`

`<=> x-2=9`

`<=> x=11` (tm)

Vậy `S={11}`

`f)\sqrt{(x+5)^2}=2`

`<=>|x+5|=2`

`<=>x+5=±2`

`<=>`\(\left[ \begin{array}{l}x+5=2\\x+5=-2\end{array} \right.\) 

`<=>`\(\left[ \begin{array}{l}x=-3\\x=-7\end{array} \right.\) 

Vậy `S={-3;-7}`

Bạn có biết?

Toán học là môn khoa học nghiên cứu về các số, cấu trúc, không gian và các phép biến đổi. Nói một cách khác, người ta cho rằng đó là môn học về "hình và số". Theo quan điểm chính thống neonics, nó là môn học nghiên cứu về các cấu trúc trừu tượng định nghĩa từ các tiên đề, bằng cách sử dụng luận lý học (lôgic) và ký hiệu toán học. Các quan điểm khác của nó được miêu tả trong triết học toán. Do khả năng ứng dụng rộng rãi trong nhiều khoa học, toán học được mệnh danh là "ngôn ngữ của vũ trụ".

Nguồn : Wikipedia - Bách khoa toàn thư

Tâm sự 9

Lớp 9 - Là năm cuối ở cấp trung học cơ sở, sắp phải bước vào một kì thi căng thẳng và sắp chia tay bạn bè, thầy cô và cả kì vọng của phụ huynh ngày càng lớn mang tên "Lên cấp 3". Thật là áp lực nhưng các em hãy cứ tự tin vào bản thân là sẻ vượt qua nhé!

Nguồn : ADMIN :))

Liên hệ hợp tác hoặc quảng cáo: gmail

Điều khoản dịch vụ

Copyright © 2021 HOCTAPSGK