Trang chủ Toán Học Lớp 6 20*. Vẽ hai góc kế bù xOy và zOy. Vẽ...

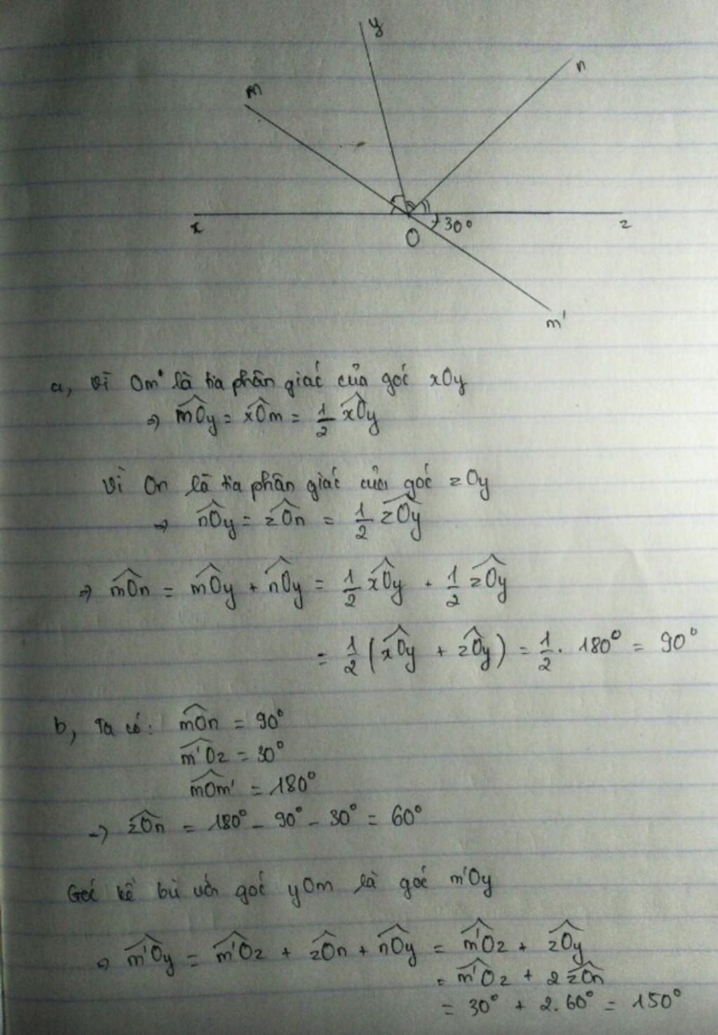
20*. Vẽ hai góc kế bù xOy và zOy. Vẽ tia Om và tia On theo thứ tự là tia phân giác của các góc xOy và góc zOy. Vẽ tia Om' là tia đối của tia Om. a) Tính số

Câu hỏi :

Làm nguyên phần `b` Giải the lớp 6

image

Lời giải 1 :

Đáp án:

 

Giải thích các bước giải:

 

image

Thảo luận

Lời giải 2 :

Giải thích các bước giải:

a/. Ta có: ∠xOy và ∠zOy là 2 góc kề bù, nên:

∠xOy + ∠zOy = 180o

Vì Om là tia phân giác của góc ∠xOy, nên:

∠xOm = ∠mOy = `1/2`∠xOy

          ⇒ ∠mOy = `1/2`∠xOy (1)

Do On là tia phân giác của góc ∠zOy, nên:

∠zOn = ∠nOy = `1/2`∠zOy

          ⇒ ∠nOy = `1/2`∠zOy (2)

Cộng (1) và (2) vế theo vế, ta có:

∠mOy+ ∠nOy = `1/2`∠xOy + `1/2`∠zOy

       ∠mOn = `1/2`.(∠xOy +`∠zOy)

       ∠mOn = `1/2`.180o

   ⇒ ∠mOn = 90o

b/.Ta có: ∠xOy và ∠zOy là 2 góc kề bù, nên:

∠m'Oz + ∠xOm' = 180o 

  30o   + ∠xOm' = 180o 

             ∠xOm' = 180o - 30o = 150o

Vì Om' là tia đối của tia Om nên ∠mOm' là góc bẹt

⇒ ∠xOm và ∠xOm' là 2 góc kề bù

Mà ∠xOm' = 150o

⇒ Góc kề bù với ∠xOm là ∠xOm' = 150o

Chúc bạn học tốt nhé.

image

Bạn có biết?

Toán học là môn khoa học nghiên cứu về các số, cấu trúc, không gian và các phép biến đổi. Nói một cách khác, người ta cho rằng đó là môn học về "hình và số". Theo quan điểm chính thống neonics, nó là môn học nghiên cứu về các cấu trúc trừu tượng định nghĩa từ các tiên đề, bằng cách sử dụng luận lý học (lôgic) và ký hiệu toán học. Các quan điểm khác của nó được miêu tả trong triết học toán. Do khả năng ứng dụng rộng rãi trong nhiều khoa học, toán học được mệnh danh là "ngôn ngữ của vũ trụ".

Nguồn : Wikipedia - Bách khoa toàn thư

Tâm sự 6

Lớp 6 - Là năm đầu tiên của cấp trung học cơ sở. Được sống lại những khỉ niệm như ngày nào còn lần đầu đến lớp 1, được quen bạn mới, ngôi trường mới, một tương lai mới!

Nguồn : ADMIN :))

Liên hệ hợp tác hoặc quảng cáo: gmail

Điều khoản dịch vụ

Copyright © 2021 HOCTAPSGK