Trang chủ Toán Học Lớp 6 Bài 1 viết các tập hợp sau và cho biết...

Bài 1 viết các tập hợp sau và cho biết mỗi tập hợp cso bao nhiêu phần tử a, Tập hợp các số tự nhiên không vượt quá 30 b, Tập hợp các số tự nhiên lớn hơn 9 như

Câu hỏi :

Bài 1 viết các tập hợp sau và cho biết mỗi tập hợp cso bao nhiêu phần tử a, Tập hợp các số tự nhiên không vượt quá 30 b, Tập hợp các số tự nhiên lớn hơn 9 nhưng nhỏ hơn 10 Bài 2 a, 900 + ( 120 :1 + 0 : 250 ) b, 17119: ( 119 -714 : 7 ) + 3302 : 13 - 567 c, 9 mũ 4 - 8 . 9 mũ 3 d, 2 mũ 6 : 2 mũ 4 + 3 mũ 2 - 2 mũ 3 Bài 3 a, 12x + 3x - 5x =250 b, ( 2x +8 ) : 4 = ( x+1 )

Lời giải 1 :

Bài 1 

a) { 0; 1; 2; 3;.......;29; 30 }

b) {∅} <--- rỗng

 Bài 2

a, 900 + ( 120 :1 + 0 : 250 )

= 900 + ( 120 + 0 )

= 900 +  120 

=     1020

c) 9^4 - 8. 9^3

= 9 ^3 x 9 - 8. 9^3

= 9^3 x ( 9 - 8 )

= 9^3 x    1

=        9^3 

=        729

d) 2^6 : 2^4 + 3^2 - 2^3

=       2^2     + 9     - 8

=       4          + 9    - 8

=              13          - 8

=                   5

Bài 3 

a) 12x + 3x - 5x = 250

          15x   - 5x  = 250

                 10x    = 250

                     x     = 250 : 10

                     x     =     25

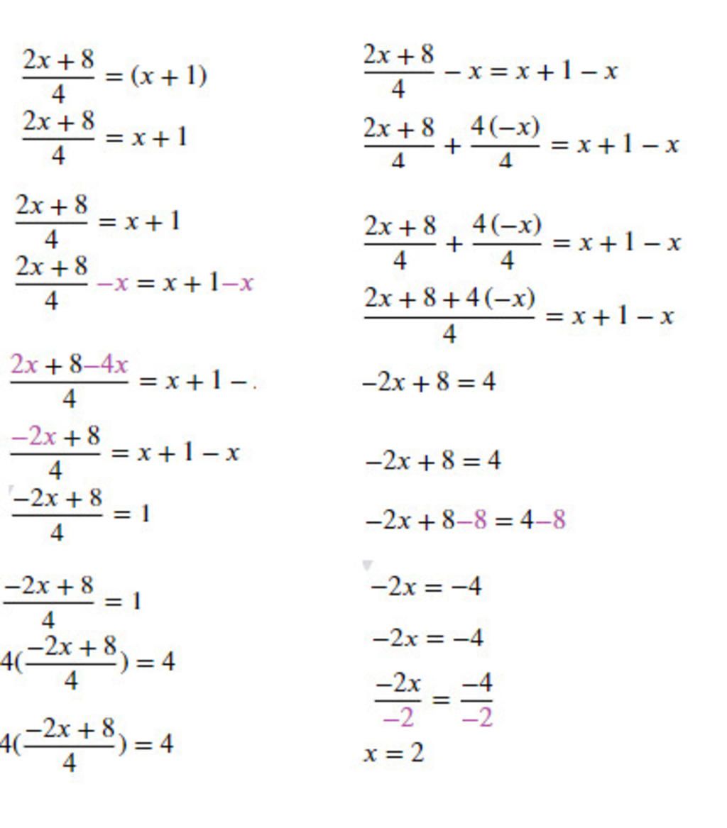
b) Ảnh 

𝕊𝕋𝕌𝔻𝕐 𝕎𝔼𝕃𝕃

@𝘿𝙞́𝙖 𝘿𝙞𝙨𝙖 🐰🥕

image

Thảo luận

-- anh thông cảm
-- Anh??? =))
-- này
-- Sao?
-- vậy câu A có bao nhiêu phần tử
-- 31 '-'
-- ồ thanks
-- ( 30 - 0 ) : 1 + 1 = 31

Lời giải 2 :

$\text{@ThanhTruc2008}$

image
image

Bạn có biết?

Toán học là môn khoa học nghiên cứu về các số, cấu trúc, không gian và các phép biến đổi. Nói một cách khác, người ta cho rằng đó là môn học về "hình và số". Theo quan điểm chính thống neonics, nó là môn học nghiên cứu về các cấu trúc trừu tượng định nghĩa từ các tiên đề, bằng cách sử dụng luận lý học (lôgic) và ký hiệu toán học. Các quan điểm khác của nó được miêu tả trong triết học toán. Do khả năng ứng dụng rộng rãi trong nhiều khoa học, toán học được mệnh danh là "ngôn ngữ của vũ trụ".

Nguồn : Wikipedia - Bách khoa toàn thư

Tâm sự 6

Lớp 6 - Là năm đầu tiên của cấp trung học cơ sở. Được sống lại những khỉ niệm như ngày nào còn lần đầu đến lớp 1, được quen bạn mới, ngôi trường mới, một tương lai mới!

Nguồn : ADMIN :))

Liên hệ hợp tác hoặc quảng cáo: gmail

Điều khoản dịch vụ

Copyright © 2021 HOCTAPSGK