Trang chủ Toán Học Lớp 8 1.Tìm GTNN: a,A=-x^2-3x+10 b,B=-9x^2-6x-20 c,C=4x^2-12x+20 d,D=x(x+1) Giúp e vs ạ!!...

1.Tìm GTNN: a,A=-x^2-3x+10 b,B=-9x^2-6x-20 c,C=4x^2-12x+20 d,D=x(x+1) Giúp e vs ạ!! câu hỏi 2239008 - hoctapsgk.com

Câu hỏi :

1.Tìm GTNN: a,A=-x^2-3x+10 b,B=-9x^2-6x-20 c,C=4x^2-12x+20 d,D=x(x+1) Giúp e vs ạ!!

Lời giải 1 :

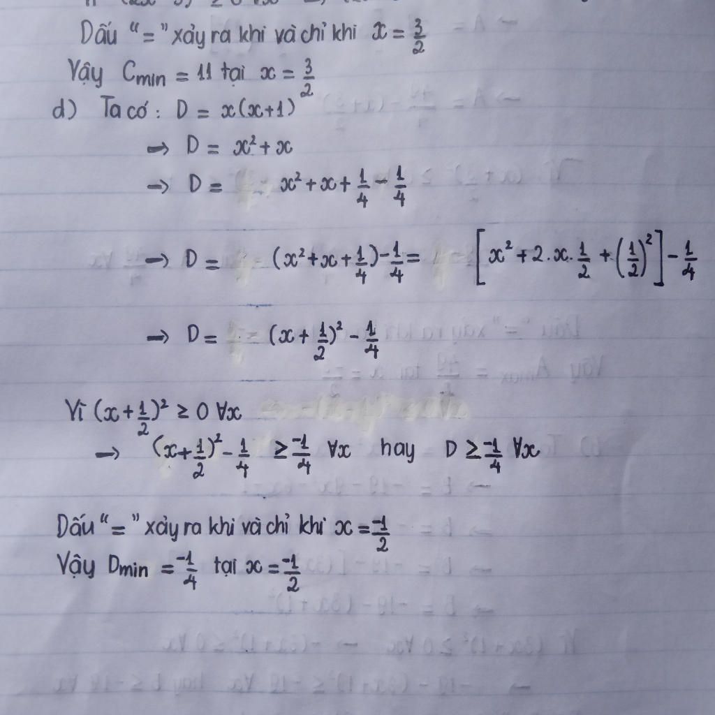
Bài lm dưới hình

Mk thấy đề nhầm hay sao ấy bn

Câu a và b chỉ có thể tìm giá trị lớn nhất thôi

Nhớ vote cho mk 5 sao nhé 😉

image
image
image
image

Thảo luận

-- Bạn biết tại sao người ta lại đặt tên là GTLN và GTNN ko
-- Không
-- GTLN xảy ra khi một số luôn ≤ số nào đó Dấu "=" xảy ra thì có GTLN Có nghĩa là: giá trị biểu thức luôn luôn nhỏ hơn hoặc bằng một giá trị nào đó Dù thay bao nhiêu ẩn vào cũng không có giá trị lớn hơn được Thì dĩ nhiên nếu như biểu thức mang dấu bằng th... xem thêm
-- 1 biểu thức bậc 2 thường thường chỉ có 1 là GTLN, 2 là GTNN thôi 1 trong 2
-- Tương tự GTNN xảy ra khi một số luôn ≥ số nào đó Dấu "=" xảy ra thì có GTNN Có nghĩa là: giá trị biểu thức luôn luôn lớn hơn hoặc bằng một giá trị nào đó Dù thay bao nhiêu ẩn vào cũng không có giá trị nhỏ hơn được Thì dĩ nhiên nếu như biểu thức mang dấ... xem thêm
-- Mk nói đúng ko
-- Xem lại kiến thức trc khi nói ng khác bn nhé
-- Ok, thank

Lời giải 2 :

`a)A=-x^2-3x+10`

`A=-(x^2+3x-10)`

`A=-[x^2+2.x. 3/2+(3/2)^2-49/4]`

`A=-(x+3/2)^2+49/4<=49/4`

Dấu `=` xảy ra

`<=>x+3/2=0`

`<=>x=-3/2`

Vậy `maxA=49/4` khi `x=-3/2`

`b)B=-9x^2-6x-20`

`B=-(9x^2+6x+20)`

`B=-[(3x)^2+2.3x.1+1^2+19]`

`B=-(3x+1)-19<=-19`

Dấu `=` xảy ra

`<=>3x+1=0`

`<=>3x=-1`

`<=>x=-1/3`

Vậy `maxB=-19` khi `x=-1/3`

`c)C=4x^2-12x+20`

`C=(2x)^2-2.2x.3+3^2+11`

`C=(2x-3)^2+11>=11`

Dấu `=` xảy ra

`<=>2x-3=0`

`<=>2x=3`

`<=>x=3/2`

Vậy `minC=11` khi `x=3/2`

`d)D=x(x+1)`

`D=x^2+x`

`D=x^2+2.x. 1/2+(1/2)^2+3/4`

`D=(x+1/2)^2+3/4>=3/4`

Dấu `=` xảy ra

`<=>x+1/2=0`

`<=>x=-1/2`

Vậy `minD=3/4` khi `x=-1/2`

Bạn có biết?

Toán học là môn khoa học nghiên cứu về các số, cấu trúc, không gian và các phép biến đổi. Nói một cách khác, người ta cho rằng đó là môn học về "hình và số". Theo quan điểm chính thống neonics, nó là môn học nghiên cứu về các cấu trúc trừu tượng định nghĩa từ các tiên đề, bằng cách sử dụng luận lý học (lôgic) và ký hiệu toán học. Các quan điểm khác của nó được miêu tả trong triết học toán. Do khả năng ứng dụng rộng rãi trong nhiều khoa học, toán học được mệnh danh là "ngôn ngữ của vũ trụ".

Nguồn : Wikipedia - Bách khoa toàn thư

Tâm sự 8

Lớp 8 - Năm thứ ba ở cấp trung học cơ sở, học tập bắt đầu nặng dần, sang năm lại là năm cuối cấp áp lực lớn dần nhưng các em vẫn phải chú ý sức khỏe nhé!

Nguồn : ADMIN :))

Liên hệ hợp tác hoặc quảng cáo: gmail

Điều khoản dịch vụ

Copyright © 2021 HOCTAPSGK