Trang chủ Hóa Học Lớp 8 Câu 6: Hỗn hợp A gồm Mg, Al và Fe....

Câu 6: Hỗn hợp A gồm Mg, Al và Fe. - 14,7 gam hỗn hợp A tác dụng với dung dịch NaOH duư sinh ra 3,36 lit khi (đktc) nhưng khi tác dụng với dung dịch HCI dư

Câu hỏi :

Các bạn giúp mik lẹ ạ. 60đ của mik đóa

image

Lời giải 1 :

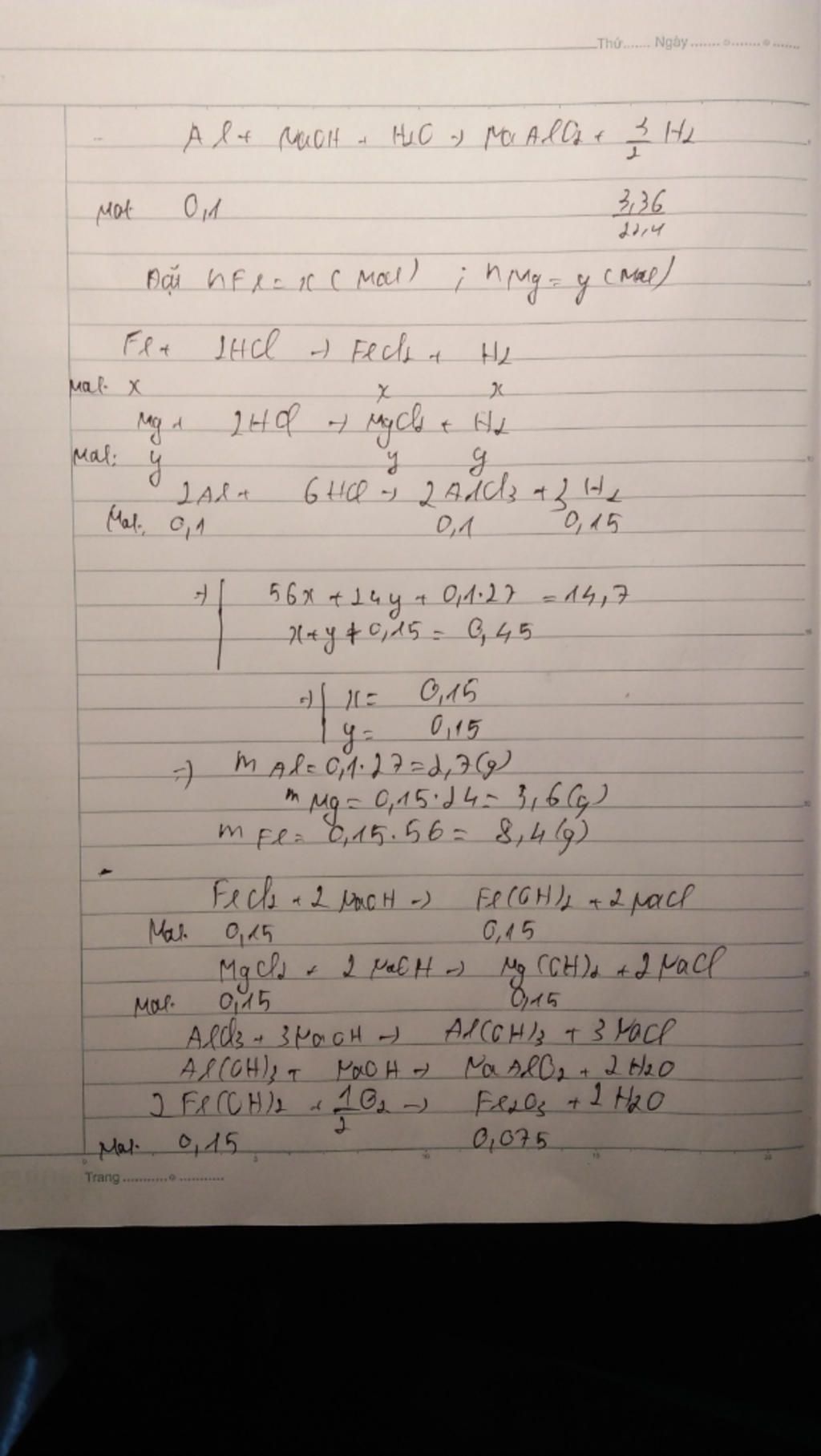
A + NaOH dư, chỉ có Al phản ứng

2Al + 2NaOH + 2H2O -> 2NaAlO2 + 3H2

0.1                                                        0.15

-> mAl = 0.1 x 27 = 2.7g

khi phản ứng với HCl, cả 3 đều p/ư

2Al + 6HCl -> 2AlCl3 + 3H2

0.1                                  0.15

Mg + 2HCl -> MgCl2 + H2

a                                     a

Fe + 2HCl -> FeCl2 + H2

b                                   b

=> 24a + 56b = 14.7 - 2.7 = 12

a + b + 0.15 = 0.45

giải ra đc a = b = 0.15

trong A có mMg = 0.15 x 24 = 3.6g

mFe = 0.15 x 56 = 8.4g

B + NaOH dư, kết tủa là Mg(OH)2, Fe(OH)2 và Al(OH)3 tan trong NaOH dư.

nung kết tủa đc MgO: 0.15 mol và Fe2O3: 0.075 mol

m = 0.15 x  40 + 0.075 x 160 = 18g

A + CuSO4 dư.

chất rắn tạo ra là Cu.

CuSO4 + Fe -> FeSO4 + Cu

                3c                 3c

CuSO4 + Mg -> MgSO4 + Cu

                3c                    3c

3CuSO4 + 2Al -> Al2(SO3)4 + 3Cu

                    2c                           3c

=> nCu = 9c mol

3Cu + 8HNO3 -> 3Cu(NO3)2 + 2NO + 4H2O

9c                                                1.2

=> c = 0.2

=> m A = 3x0.2x56 + 3x0.2x24 + 2x0.2x27 = 58.8g

Thảo luận

-- tl rõ hơn đi bạn

Lời giải 2 :

Đáp án: +Giải thích các bước giải:

 

image
image

Bạn có biết?

Hóa học, một nhánh của khoa học tự nhiên, là ngành nghiên cứu về thành phần, cấu trúc, tính chất, và sự thay đổi của vật chất.Hóa học nói về các nguyên tố, hợp chất, nguyên tử, phân tử, và các phản ứng hóa học xảy ra giữa những thành phần đó.Hóa học đôi khi được gọi là "khoa học trung tâm" vì nó là cầu nối các ngành khoa học tự nhiên khác như vật lý học, địa chất học và sinh học.

Nguồn : Wikipedia - Bách khoa toàn thư

Tâm sự 8

Lớp 8 - Năm thứ ba ở cấp trung học cơ sở, học tập bắt đầu nặng dần, sang năm lại là năm cuối cấp áp lực lớn dần nhưng các em vẫn phải chú ý sức khỏe nhé!

Nguồn : ADMIN :))

Liên hệ hợp tác hoặc quảng cáo: gmail

Điều khoản dịch vụ

Copyright © 2021 HOCTAPSGK