Trang chủ Toán Học Lớp 12 4 y =x* +3mx +m . Với giá trị nào...

4 y =x* +3mx +m . Với giá trị nào của m thị hàm sốố đã cho có 3 cực trị: 41. 1. weu.. - .... 4 28 Cho hàm số (C): y=x* -(m² -1)x +m . Với giá trị nào của m

Câu hỏi :

Giải 2 câu hàm số ạ em cảm ơn

image

Lời giải 1 :

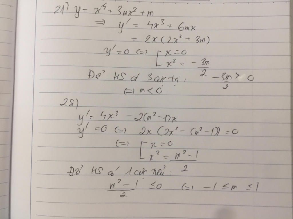
Bạn xem hình

image

Thảo luận

-- https://hoidap247.com/cau-hoi/2245722 Giúp mình câu này với
-- Giúp mình câu này với
-- https://hoidap247.com/cau-hoi/2245734 Giúp mình câu này với
-- https://hoidap247.com/cau-hoi/2245671 xoá giúp em câu này với ạ !
-- https://hoidap247.com/cau-hoi/2245749 Heelp e ạ
-- 1 buổi sáng hơn 3k điểm , ghê thế
-- wowwwww 3k điểm chỉ trong 1 buổi sáng
-- https://hoidap247.com/cau-hoi/2245873 Giúp e vs ạ

Lời giải 2 :

Đáp án:

 

Giải thích các bước giải:

 `y=x^4+3mx^2+m`

Để hàm số có 3 cực trị

`ab<0`

`⇔ 1.3m<0`

`⇔ m<0`

Vậy `m<0` thì hàm số đã cho có 3 cực trị

28/

`(C):y=x^4-(m^2-1)x^2+m`

Để hàm số chỉ có cực tiểu:

\(\begin{cases} a > 0\\b \ge 0\end{cases}\)

`⇔` \(\begin{cases} 1 > 0\ (lđ)\\-(m^2-1) \ge 0\end{cases}\)

`⇔ m^2-1 \le 0`

`⇔ m^2 \le 1`

`⇔ -1 \le m \le 1`

Vậy với `-1 \le m \le 1` thì hàm số đã cho chỉ có cực tiểu

Bạn có biết?

Toán học là môn khoa học nghiên cứu về các số, cấu trúc, không gian và các phép biến đổi. Nói một cách khác, người ta cho rằng đó là môn học về "hình và số". Theo quan điểm chính thống neonics, nó là môn học nghiên cứu về các cấu trúc trừu tượng định nghĩa từ các tiên đề, bằng cách sử dụng luận lý học (lôgic) và ký hiệu toán học. Các quan điểm khác của nó được miêu tả trong triết học toán. Do khả năng ứng dụng rộng rãi trong nhiều khoa học, toán học được mệnh danh là "ngôn ngữ của vũ trụ".

Nguồn : Wikipedia - Bách khoa toàn thư

Tâm sự 12

Lớp 12 - Năm cuối ở cấp tiểu học, năm học quan trọng nhất trong đời học sinh trải qua bao năm học tập, bao nhiêu kì vọng của người thân xung quanh ta. Những nỗi lo về thi đại học và định hướng tương lai thật là nặng. Hãy tin vào bản thân là mình sẽ làm được rồi tương lai mới chờ đợi các em!

Nguồn : ADMIN :))

Liên hệ hợp tác hoặc quảng cáo: gmail

Điều khoản dịch vụ

Copyright © 2021 HOCTAPSGK