Trang chủ Toán Học Lớp 9 Giúp mình vs :((( câu hỏi 2223441 - hoctapsgk.com

Giúp mình vs :((( câu hỏi 2223441 - hoctapsgk.com

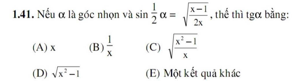
Câu hỏi :

Giúp mình vs :(((

image

Lời giải 1 :

Đáp án + giải thích các bước giải:

Đầu tiên ta chứng minh công thức như trong ảnh. Từ đó ta có:

`sin \alpha=sin (1/2 \alpha+ 1/2\alpha )=sin( 1/2\alpha ). cos (1/2 \alpha) + cos (1/2 \alpha). sin (1/2 \alpha) =2sin (1/2 \alpha) . cos (1/2 \alpha)=2sin (1/2 \alpha) \sqrt{cos^2 (1/2 \alpha)}=2 sin (1/2 \alpha) \sqrt{1-sin^2 (1/2\alpha)}= 2. \sqrt{(x-1)/(2x)} . \sqrt{1-(x-1)/(2x)}=2.\sqrt{(x-1)/(2x) . (x+1)/(2x)}=2 . \sqrt{(x^2-1)/(4x^2)} `

`->tan \alpha = (sin \alpha)/(cos \alpha)=\sqrt{(sin^2 \alpha)/(cos^2 \alpha)} =\sqrt{(sin^2 \alpha)/(1-sin^2 \alpha)} =\sqrt{(4(x^2-1)/(4x^2))/(1-4(x^2-1)/(4x^2))}=\sqrt{x^2-1`

`->D`

image
image

Thảo luận

-- xóa giúp em mod ơi
-- hoidap247.com/cau-hoi/2241923
-- xóa bạn dc ctlhn
-- bạn ý chưa gt

Lời giải 2 :

Đáp án:

 `-> D`

Giải thích các bước giải:

Ta có:

`sin^2\alpha +cos^2\alpha =1`

`<=> cos^2 \alpha = 1-sin^2\alpha`

`<=> cos^2\alpha = 1- 2sin^2\alpha/2`

`<=> cos^2\alpha = 1-2* sqrt((x-1)/(2x))^2`

`<=> cos^2\alpha = 1-2*(x-1)/(2x)`

`<=> cos^2\alpha = 1-(x-1)/x`

`<=> cos^2\alpha =(x-(x-1))/x`

`<=> cos^2\alpha =1/x`

Áp dụng công thức `1 +tan^2\alpha =1/cos^2\alpha` (Phần chứng minh công thức mình trình bày dưới ảnh)

Ta có: `1 +tg^2\alpha =1/cos^2\alpha` 

`<=> tan^2\alpha = 1/cos^2\alpha -1`

`<=> tan\alpha =sqrt(1/(cos^2\alpha) -1)`

`<=> tan\alpha =sqrt(1/((1/x)^2) -1)`

`<=> tan\alpha =sqrt(1/(1/x^2) -1)`

`<=> tan\alpha =sqrt(x^2 -1)`

`-> D`

image

Bạn có biết?

Toán học là môn khoa học nghiên cứu về các số, cấu trúc, không gian và các phép biến đổi. Nói một cách khác, người ta cho rằng đó là môn học về "hình và số". Theo quan điểm chính thống neonics, nó là môn học nghiên cứu về các cấu trúc trừu tượng định nghĩa từ các tiên đề, bằng cách sử dụng luận lý học (lôgic) và ký hiệu toán học. Các quan điểm khác của nó được miêu tả trong triết học toán. Do khả năng ứng dụng rộng rãi trong nhiều khoa học, toán học được mệnh danh là "ngôn ngữ của vũ trụ".

Nguồn : Wikipedia - Bách khoa toàn thư

Tâm sự 9

Lớp 9 - Là năm cuối ở cấp trung học cơ sở, sắp phải bước vào một kì thi căng thẳng và sắp chia tay bạn bè, thầy cô và cả kì vọng của phụ huynh ngày càng lớn mang tên "Lên cấp 3". Thật là áp lực nhưng các em hãy cứ tự tin vào bản thân là sẻ vượt qua nhé!

Nguồn : ADMIN :))

Liên hệ hợp tác hoặc quảng cáo: gmail

Điều khoản dịch vụ

Copyright © 2021 HOCTAPSGK