Trang chủ Toán Học Lớp 6 Bài 10: Tìm các chữ số a và b sao...

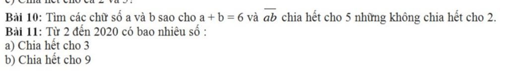
Bài 10: Tìm các chữ số a và b sao cho a + b = 6 và ab chia hết cho 5 những không chia hết cho 2. Bài 11: Từ 2 đến 2020 có bao nhiêu số : a) Chia hết cho 3

Câu hỏi :

Làm nhanh hộ mik với nhà mn

image

Lời giải 1 :

Bài `10 :`

Vì `overline{ab} vdots 5 , overline{ab} \cancel{vdots} 2`

`⇒ b = 5`

Mà `a + b = 6`

`⇒ a = 6 - 5 = 1`

Vậy `; a = 1 , b = 5 .`

Bài `11 :`

`a)` Các số `2` đến `2020` chia hết `3` là `: 3 , 6 , 9 , .... 2019 .`

     Từ `2` đến `2020` có số lượng số chia hết `3` là `:`

         `( 2019 - 3 ) : 3 + 1 = 673 (` số `)`

`b)` Các số `2` đến `2020` chia hết `9` là `: 9 , 18 , 27 , .... , 2016 .`

    Từ `2` đến `2020` có số lượng số chia hết `9` là `:`  

         `( 2016 - 9 ) : 9 + 1 = 224 (` số `)`

                                 Đáp số `: a) 673` số `.`

                                               `b) 224` số `.`

Thảo luận

Lời giải 2 :

Bài 10:

-Chữ số tận cùng chia hết cho `5` nhưng không chia hết cho `2`

→ `b = 5`

-Ta được: `a + 5 = 6`

                `a = 6 - 5`

                `a = 1`

            Vậy `a = 1`; `b = 5`

Bài 11:

`a,` -Số chia hết cho `3` bắt đầu từ: `3; 6; 9;.............; 2019`

           Số chia hết cho `3` từ `2 → 2020` là:

                `( 2019 - 3 ) : 3 + 1 = 673` ( số hạng )

`b,` -Số chia hết cho `9` bắt đầu từ: `9; 18; 27;............2016`

           Số chia hết cho `9` từ `2 → 2020` là:

                `( 2016 - 9 ) : 9 + 1 = 224` ( số hạng )

              

 

Bạn có biết?

Toán học là môn khoa học nghiên cứu về các số, cấu trúc, không gian và các phép biến đổi. Nói một cách khác, người ta cho rằng đó là môn học về "hình và số". Theo quan điểm chính thống neonics, nó là môn học nghiên cứu về các cấu trúc trừu tượng định nghĩa từ các tiên đề, bằng cách sử dụng luận lý học (lôgic) và ký hiệu toán học. Các quan điểm khác của nó được miêu tả trong triết học toán. Do khả năng ứng dụng rộng rãi trong nhiều khoa học, toán học được mệnh danh là "ngôn ngữ của vũ trụ".

Nguồn : Wikipedia - Bách khoa toàn thư

Tâm sự 6

Lớp 6 - Là năm đầu tiên của cấp trung học cơ sở. Được sống lại những khỉ niệm như ngày nào còn lần đầu đến lớp 1, được quen bạn mới, ngôi trường mới, một tương lai mới!

Nguồn : ADMIN :))

Liên hệ hợp tác hoặc quảng cáo: gmail

Điều khoản dịch vụ

Copyright © 2021 HOCTAPSGK