Trang chủ Toán Học Lớp 8 Cho hai đa thức P(x) = -x3 + 2x2 +...

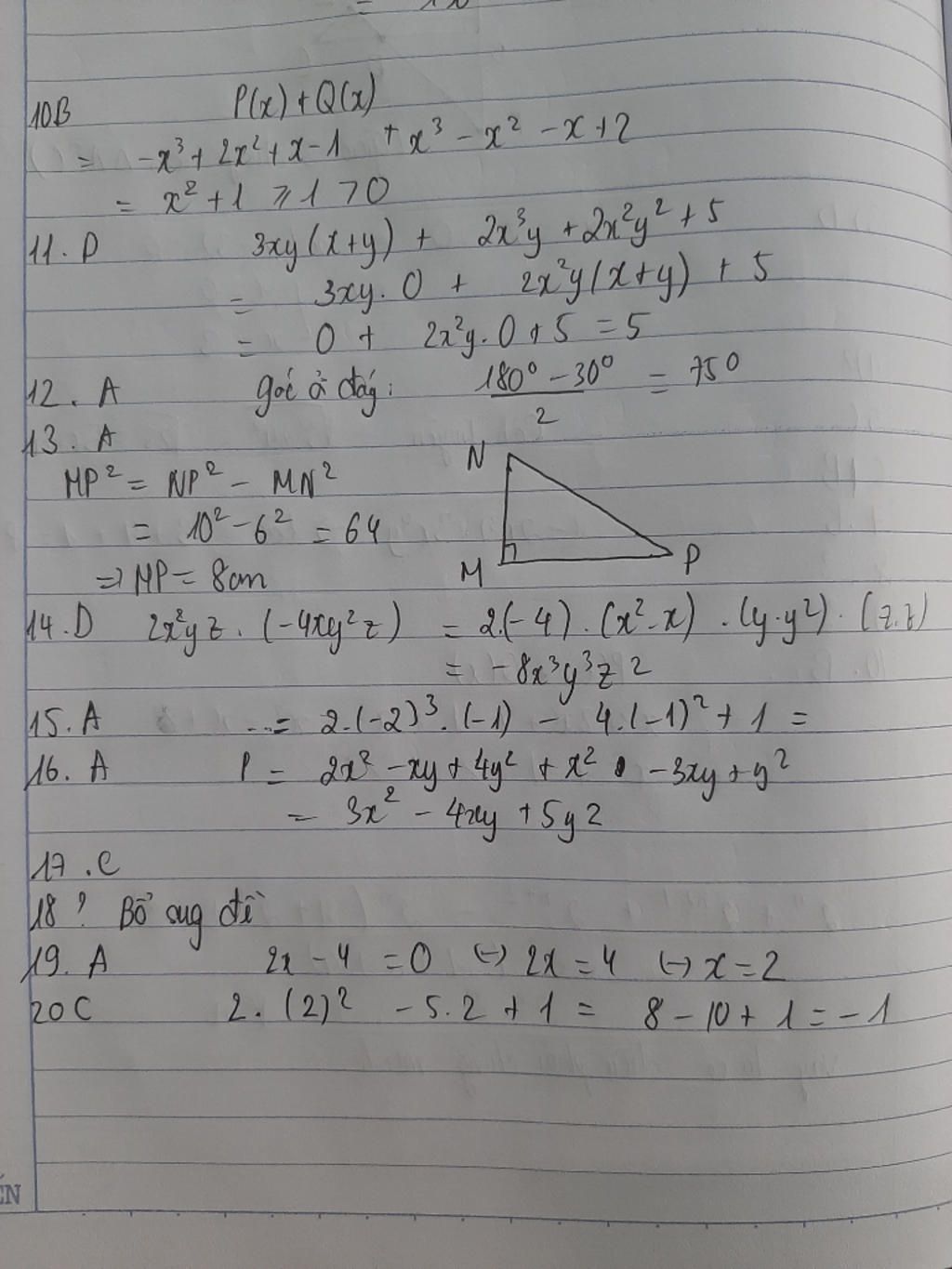
Cho hai đa thức P(x) = -x3 + 2x2 + x – 1 và Q(x) = x3 – x2 – x + 2. Nghiệm của đa thức P(x) + Q(x) là: A. 0 B. Vô nghiệm C. -1 D. 1 11 Cho x + y = 0. Tính

Câu hỏi :

Cho hai đa thức P(x) = -x3 + 2x2 + x – 1 và Q(x) = x3 – x2 – x + 2. Nghiệm của đa thức P(x) + Q(x) là: A. 0 B. Vô nghiệm C. -1 D. 1 11 Cho x + y = 0. Tính giá trị của biểu thức 3xy(x + y) + 2x3y + 2x2y2 + 5 A. 3 B. 1 C. 4 D. 5 12 Cho DABC cân tại A, có Â = 30o thì mỗi góc ở đáy có số đo là: A. 750 B. 1100 C. 350 D. Một kết quả khác. 13 Cho DMNP vuông tại M, có MN = 6cm, NP = 10cm. Độ dài cạnh MP là: A. 8cm B. 6cm C. 4cm D. 9cm 14 Tích của hai đơn thức 2x2yz và (-4xy2z)bằng : A. -8x3y3z B. -6x2y2z C. 8x3y2z2 D. -8x3y3z2 15 Giá trị của biểu thức 2x3y – 4y2 + 1 tại x = -2; y = -1 là : A. 13 B. 19 C. -13 D. -19 16 Nếu P – (x2 – 3xy + y2 ) = 2x2 – xy + 4y2 thì P bằng: A. 3x2- 4xy + 5y2 B. 2x2- 4xy + 5y2 C. – x2 – 2xy – 3y2 D. x2+2xy+3y2 17 Hệ số cao nhất của đa thức – 2x4 – 6x5 + 9x - 7 là: A. -6 B. -7 C. -2 D. 9 18 Cho DABC có , . Khi đó ta có: A. AB

Lời giải 1 :

Đáp án:

 

Giải thích các bước giải:

 

image

Thảo luận

Bạn có biết?

Toán học là môn khoa học nghiên cứu về các số, cấu trúc, không gian và các phép biến đổi. Nói một cách khác, người ta cho rằng đó là môn học về "hình và số". Theo quan điểm chính thống neonics, nó là môn học nghiên cứu về các cấu trúc trừu tượng định nghĩa từ các tiên đề, bằng cách sử dụng luận lý học (lôgic) và ký hiệu toán học. Các quan điểm khác của nó được miêu tả trong triết học toán. Do khả năng ứng dụng rộng rãi trong nhiều khoa học, toán học được mệnh danh là "ngôn ngữ của vũ trụ".

Nguồn : Wikipedia - Bách khoa toàn thư

Tâm sự 8

Lớp 8 - Năm thứ ba ở cấp trung học cơ sở, học tập bắt đầu nặng dần, sang năm lại là năm cuối cấp áp lực lớn dần nhưng các em vẫn phải chú ý sức khỏe nhé!

Nguồn : ADMIN :))

Liên hệ hợp tác hoặc quảng cáo: gmail

Điều khoản dịch vụ

Copyright © 2021 HOCTAPSGK