Trang chủ Toán Học Lớp 10 giúp em 3 câu này ạ, làm theo kiểu người...

giúp em 3 câu này ạ, làm theo kiểu người mới học thôi nha câu hỏi 2187274 - hoctapsgk.com

Câu hỏi :

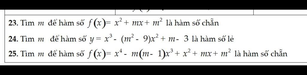
giúp em 3 câu này ạ, làm theo kiểu người mới học thôi nha

image

Lời giải 1 :

Đáp án + giải thích các bước giải:

 

image
image

Thảo luận

-- Vấn đề gì ?
-- https://hoidap247.com/thong-tin-ca-nhan/905129
-- Bạn này buff ạ!
-- Chắc chắn bạn ấy đã fake IP nên nhờ mod liên hệ ad khóa tài khoản này lại giùm ạ!
-- Nghe này. Thứ nhất, tố thì tố ít Mod thôi, 1-2 người là đủ không làm phiền nhiều người, kiểu gì buff cũng lộ, chỉ là sớm hay muộn. Thứ hai, thuận toán check buff của hoidap247 không chỉ là IP, ví dụ đơn giản nếu bạn chỉ về quê xong thay đổi máy khác để... xem thêm
-- =))
-- Bạn ơi, người ta fake IP là fake IP nước ngoài chứ có phải IP Việt Nam đâu ạ
-- Đã nói rồi nghe không hiểu thì chịu.

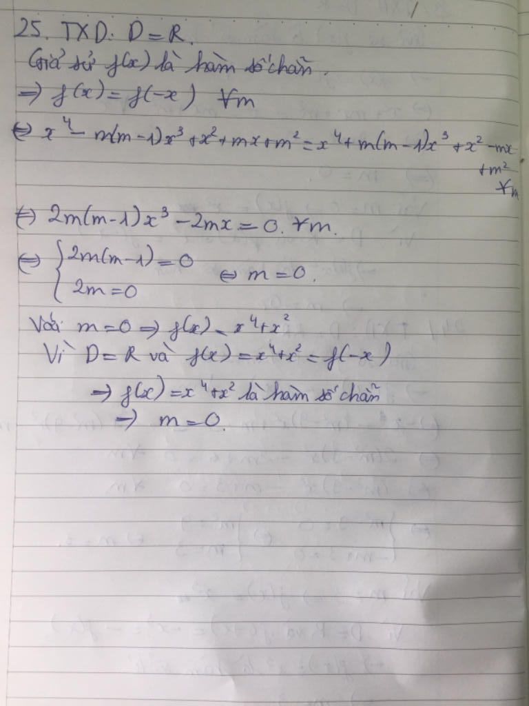
Lời giải 2 :

Bạn tham khảo
image

Bạn có biết?

Toán học là môn khoa học nghiên cứu về các số, cấu trúc, không gian và các phép biến đổi. Nói một cách khác, người ta cho rằng đó là môn học về "hình và số". Theo quan điểm chính thống neonics, nó là môn học nghiên cứu về các cấu trúc trừu tượng định nghĩa từ các tiên đề, bằng cách sử dụng luận lý học (lôgic) và ký hiệu toán học. Các quan điểm khác của nó được miêu tả trong triết học toán. Do khả năng ứng dụng rộng rãi trong nhiều khoa học, toán học được mệnh danh là "ngôn ngữ của vũ trụ".

Nguồn : Wikipedia - Bách khoa toàn thư

Tâm sự 10

Lớp 10 - Năm thứ nhất ở cấp trung học phổ thông, năm đầu tiên nên có nhiều bạn bè mới đến từ những nơi xa hơn vì ngôi trường mới lại mỗi lúc lại xa nhà mình hơn. Được biết bên ngoài kia là một thế giới mới to và nhiều điều thú vị, một trang mới đang chò đợi chúng ta.

Nguồn : ADMIN :))

Liên hệ hợp tác hoặc quảng cáo: gmail

Điều khoản dịch vụ

Copyright © 2021 HOCTAPSGK