Trang chủ Toán Học Lớp 9 GIẢI HỆ PHƯƠNG TRÌNH BẰNG CẢ HAI PHƯƠNG PHÁP (THẾ...

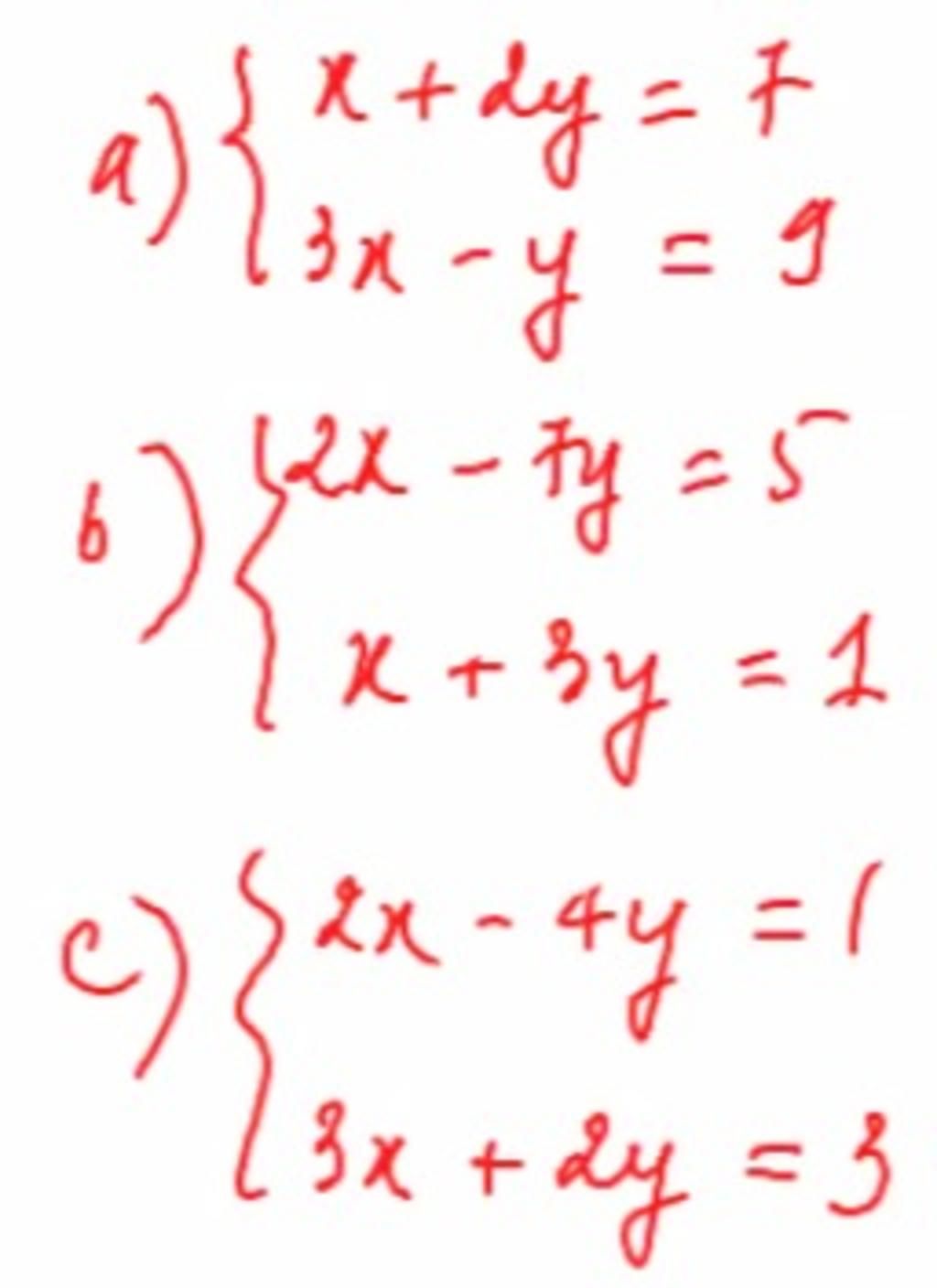
GIẢI HỆ PHƯƠNG TRÌNH BẰNG CẢ HAI PHƯƠNG PHÁP (THẾ VÀ CỘNG ĐẠI SỐ): P/s: Làm nhanh giúp em với ạ, em đang cần gấp. Cảm ơn ạ!ス+ly=t ty =5 * + by = 1 スス- ay =1 3x

Câu hỏi :

GIẢI HỆ PHƯƠNG TRÌNH BẰNG CẢ HAI PHƯƠNG PHÁP (THẾ VÀ CỘNG ĐẠI SỐ): P/s: Làm nhanh giúp em với ạ, em đang cần gấp. Cảm ơn ạ!

image

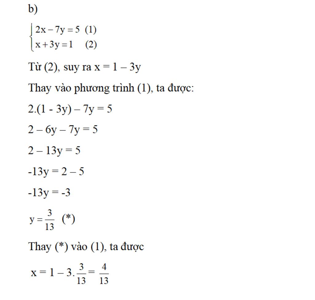
Lời giải 1 :

Đáp án:

 

Giải thích các bước giải:

 

image
image
image

Thảo luận

-- bạn nói giải bằng cả 2 cách ấy
-- rứa hà, mà mình lỡ làm một cách rồi mà chừ đang ra ngoài thôi chắc để đó
-- mình tưởng áp dụng một trong hai phương pháp để giải
-- vô đi anh ơi mai cày đại nên rất cần anh :))
-- anh ơi

Lời giải 2 :

Đây nha
image
image

Bạn có biết?

Toán học là môn khoa học nghiên cứu về các số, cấu trúc, không gian và các phép biến đổi. Nói một cách khác, người ta cho rằng đó là môn học về "hình và số". Theo quan điểm chính thống neonics, nó là môn học nghiên cứu về các cấu trúc trừu tượng định nghĩa từ các tiên đề, bằng cách sử dụng luận lý học (lôgic) và ký hiệu toán học. Các quan điểm khác của nó được miêu tả trong triết học toán. Do khả năng ứng dụng rộng rãi trong nhiều khoa học, toán học được mệnh danh là "ngôn ngữ của vũ trụ".

Nguồn : Wikipedia - Bách khoa toàn thư

Tâm sự 9

Lớp 9 - Là năm cuối ở cấp trung học cơ sở, sắp phải bước vào một kì thi căng thẳng và sắp chia tay bạn bè, thầy cô và cả kì vọng của phụ huynh ngày càng lớn mang tên "Lên cấp 3". Thật là áp lực nhưng các em hãy cứ tự tin vào bản thân là sẻ vượt qua nhé!

Nguồn : ADMIN :))

Liên hệ hợp tác hoặc quảng cáo: gmail

Điều khoản dịch vụ

Copyright © 2021 HOCTAPSGK