Trang chủ Hóa Học Lớp 8 Câu 20. Cho hh Na, K, Ca vào nước thu...

Câu 20. Cho hh Na, K, Ca vào nước thu được dung dịch A và V (lít) khí H2 ở đktc. Trung hòa 1/3 dung dịch A cần 200ml dung dịch hỗn hợp HNO3 0,1

Câu hỏi :

Câu 20. Cho hh Na, K, Ca vào nước thu được dung dịch A và V (lít) khí H2 ở đktc. Trung hòa 1/3 dung dịch A cần 200ml dung dịch hỗn hợp HNO3 0,1M và H2SO4 0,5M. Tìm V.

Lời giải 1 :

🐉
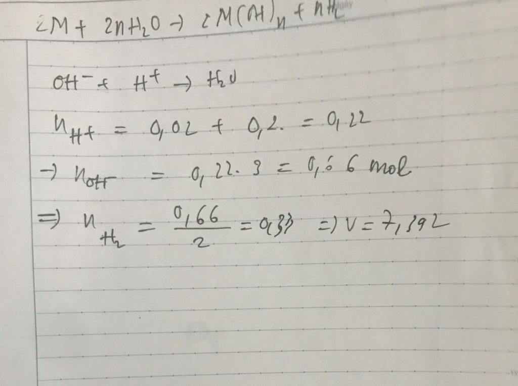
image

Thảo luận

-- cảm ơn bạn!
-- Anh Cuân ới
-- Jz
-- Sao em kết quả khác anh, em sai chỗ nào ạ
-- Giống á
-- À, em nhìn nhầm :3

Lời giải 2 :

`2Na + 2H_2O -> 2NaOH + H_2`

`2K + 2H_2O -> 2KOH + H_2`

`Ca + 2H_2O -> Ca(OH)_2 + H_2`

 `n_(HNO_3) = 0,2 . 0,1 = 0,02` `(mol)`

`n_(H_2SO_4) = 0,5 . 0,2 = 0,1` `(mol)`

BTNT `H` :

`n_H^+ = n_(OH^-)= n_(HNO_3) + 2n_(H_2SO_4)`

`= 0,02 + 0,2 . 2 = 0,22` `(mol)`

Theo PTHH : `n_(H_2) = 1/2 .n_(OH^-) = 1/2 .0,22 = 0,11` `(mol)`

`=> V = 0,11 . 3 . 22,4 = 7,392` `(l)`

Bạn có biết?

Hóa học, một nhánh của khoa học tự nhiên, là ngành nghiên cứu về thành phần, cấu trúc, tính chất, và sự thay đổi của vật chất.Hóa học nói về các nguyên tố, hợp chất, nguyên tử, phân tử, và các phản ứng hóa học xảy ra giữa những thành phần đó.Hóa học đôi khi được gọi là "khoa học trung tâm" vì nó là cầu nối các ngành khoa học tự nhiên khác như vật lý học, địa chất học và sinh học.

Nguồn : Wikipedia - Bách khoa toàn thư

Tâm sự 8

Lớp 8 - Năm thứ ba ở cấp trung học cơ sở, học tập bắt đầu nặng dần, sang năm lại là năm cuối cấp áp lực lớn dần nhưng các em vẫn phải chú ý sức khỏe nhé!

Nguồn : ADMIN :))

Liên hệ hợp tác hoặc quảng cáo: gmail

Điều khoản dịch vụ

Copyright © 2021 HOCTAPSGK