Trang chủ Hóa Học Lớp 9 Bài 3 : Đốt m(gam) một mẫu kim loại Fe...

Bài 3 : Đốt m(gam) một mẫu kim loại Fe trong khí oxi, sau một thời gian thu được 32,8 gam rắn A gồm 4 chất. Hòa tan hết A trong HNO3 dư thì thu được 8,96 lít l

Câu hỏi :

Bài 3 : Đốt m(gam) một mẫu kim loại Fe trong khí oxi, sau một thời gian thu được 32,8 gam rắn A gồm 4 chất. Hòa tan hết A trong HNO3 dư thì thu được 8,96 lít lít (đktc) hỗn hợp khí Z gồm 2 khí NO, NO2 có = 18. Giá trị của m

Lời giải 1 :

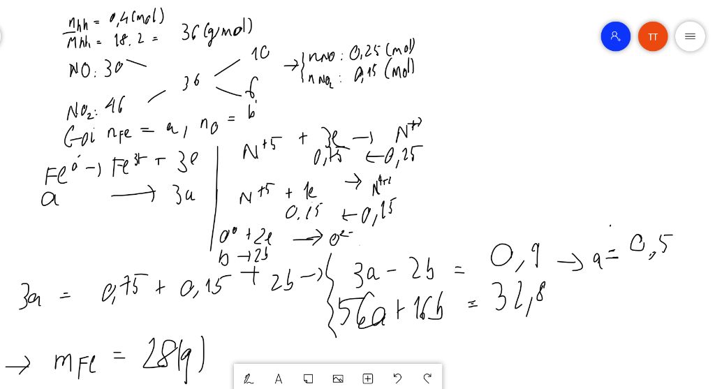
Gửi nè :3

image

Thảo luận

-- Ko đc buff
-- -___-
-- e buff đâu a :))))))
-- Buff là sử dụng nick phụ đặt câu hỏi cho nick chính trả lời
-- thì ai dùng đâu em
-- Thảo nick khác mà
-- biểu hiện của sự lươn lẹo ;-;

Lời giải 2 :

Chúc bạn học tốt!!!

Đáp án:

`m=28g`

Giải thích các bước giải:

`\overline {M_Z}={30n_{NO}+46n_{NO_2}}/{n_{NO}+n_{NO_2}}=18.2=36`

`=> 6n_{NO}=10n_{NO_2}`

`<=> 3n_{NO}=5n_{NO_2}`

Mà `n_{NO}+n_{NO_2}={8,96}/{22,4}=0,4 mol`

$=>\begin{cases} n_{NO}=0,25 \\ n_{NO_2}=0,15 \end{cases}$

Rắn $A$ gồm sắt và $Oxit$ sắt

=> Quy đổi hỗn hợp `A` về `a` mol `Fe` và `b` mol `O`

Khi đó:

`m_A=56a+16b=32,8g`      `(1)`

Mặt khác: 

`Fe \to Fe^{+3} + 3e`

`O + 2e \to O^{-2}`

`N^{+5} + 3e \to N^{+2}`

`N^{+5} + 1e \to N^{+4}`

$BTe: 3n_{Fe}=2n_O+3n_{NO}+n_{NO_2}$

$=> 3a-2b=3.0,25+0,15=0,9$        $(2)$

$(1)(2)=>\begin{cases} a=0,5 \\ b=0,3 \end{cases}$

`BTNT` `Fe: n_{Fe(A)}=n_{Fe.bđ}`

`=> n_{Fe.bđ}=0,5 mol`

`=> m=m_{Fe}=0,5.56=28g`

Bạn có biết?

Hóa học, một nhánh của khoa học tự nhiên, là ngành nghiên cứu về thành phần, cấu trúc, tính chất, và sự thay đổi của vật chất.Hóa học nói về các nguyên tố, hợp chất, nguyên tử, phân tử, và các phản ứng hóa học xảy ra giữa những thành phần đó.Hóa học đôi khi được gọi là "khoa học trung tâm" vì nó là cầu nối các ngành khoa học tự nhiên khác như vật lý học, địa chất học và sinh học.

Nguồn : Wikipedia - Bách khoa toàn thư

Tâm sự 9

Lớp 9 - Là năm cuối ở cấp trung học cơ sở, sắp phải bước vào một kì thi căng thẳng và sắp chia tay bạn bè, thầy cô và cả kì vọng của phụ huynh ngày càng lớn mang tên "Lên cấp 3". Thật là áp lực nhưng các em hãy cứ tự tin vào bản thân là sẻ vượt qua nhé!

Nguồn : ADMIN :))

Liên hệ hợp tác hoặc quảng cáo: gmail

Điều khoản dịch vụ

Copyright © 2021 HOCTAPSGK