Trang chủ Toán Học Lớp 12 tìm m giúp em với ạ, em cám ơn câu...

tìm m giúp em với ạ, em cám ơn câu hỏi 2109445 - hoctapsgk.com

Câu hỏi :

tìm m giúp em với ạ, em cám ơn

image

Lời giải 1 :

Mình gửi bạn nhé Chữ mình hơi xấu bạn thông cảm nha
image

Thảo luận

-- ok cám ơn bạn ạ
-- Ko có chi

Lời giải 2 :

Đáp án:

`m\in (-∞;-1)∪{1}∪[3;+∞)` 

Giải thích các bước giải:

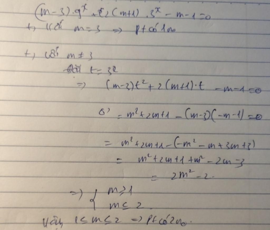
 `\qquad (m-3)9^x+2(m+1)3^x-m-1=0` $(1)$

+) `TH1: m-3=0<=>m=3`

`(1)<=>0+2.(3+1).3^x-3-1=0`

`<=>8. 3^x=4`

`<=>3^x=1/2`

`<=>x=log_3\  1/2`

`=>m=3` phương trình có nghiệm duy nhất (*)

$\\$

+) `TH2: m\ne 3`

`(1)<=>(m-3).(3^x)^2+2(m+1).3^x-m-1=0`

Đặt `t=3^x; t>0`

`(1)<=>(m-3)t^2+2(m+1)t-m-1=0\ (2)` là phương trình bậc hai $1$ ẩn

`a=m-3;b=2(m+1);c=-m-1`

Để phương trình đã cho có nghiệm duy nhất thì `(2)` có 1 nghiệm kép dương hoặc 2 nghiệm phân biệt trái dấu

`∆'=b'^2-ac=(m+1)^2-(m-3).(-m-1)`

`=m^2+2m+1-(-m^2-m+3m+3)`

`=2m^2-2`

$\\$

+)`TH`: `(2)` có $1$ nghiệm kép dương

`=>`$\begin{cases}∆'=0\\t_1=t_2=\dfrac{-b'}{a}>0\end{cases}$

`<=>`$\begin{cases}2m^2-2=0\ (3)\\t_1=t_2=\dfrac{-(m+1)}{m-3}>0\ (4)\end{cases}$

$\\$

`(3)<=>2m^2=2<=>m^2=1<=>m=±1`

$\\$

Với `m=1`

`(4)<=>t_1=t_2={-(1+1)}/{1-3}=1>0` (đúng)

Với `m=-1`

`(4)<=>t_1=t_2={-(-1+1)}/{-1-3}=0` (không thỏa)

$\\$

`=>m=1` thì phương trình đã cho có $1$ nghiệm duy nhất (**)

$\\$

+) `TH:  (2)` có hai nghiệm phân biệt trái dấu

`=>ac<0`

`<=>(m-3).(-m-1)<0`

`<=>(m-3)(m+1)>0`

`<=>`$\left[\begin{array}{l}m>3\\m< -1\end{array}\right.$  (***)

$\\$

Từ (*);(**);(***) suy ra phương trình đã cho có nghiệm duy nhất khi:

`\qquad m\in (-∞;-1)∪{1}∪[3;+∞)` 

Bạn có biết?

Toán học là môn khoa học nghiên cứu về các số, cấu trúc, không gian và các phép biến đổi. Nói một cách khác, người ta cho rằng đó là môn học về "hình và số". Theo quan điểm chính thống neonics, nó là môn học nghiên cứu về các cấu trúc trừu tượng định nghĩa từ các tiên đề, bằng cách sử dụng luận lý học (lôgic) và ký hiệu toán học. Các quan điểm khác của nó được miêu tả trong triết học toán. Do khả năng ứng dụng rộng rãi trong nhiều khoa học, toán học được mệnh danh là "ngôn ngữ của vũ trụ".

Nguồn : Wikipedia - Bách khoa toàn thư

Tâm sự 12

Lớp 12 - Năm cuối ở cấp tiểu học, năm học quan trọng nhất trong đời học sinh trải qua bao năm học tập, bao nhiêu kì vọng của người thân xung quanh ta. Những nỗi lo về thi đại học và định hướng tương lai thật là nặng. Hãy tin vào bản thân là mình sẽ làm được rồi tương lai mới chờ đợi các em!

Nguồn : ADMIN :))

Liên hệ hợp tác hoặc quảng cáo: gmail

Điều khoản dịch vụ

Copyright © 2021 HOCTAPSGK