Trang chủ Toán Học Lớp 8 242 7I 62x+ .(x2x) x. (x-3)- 3x. 6x+2 37-30 2...

242 7I 62x+ .(x2x) x. (x-3)- 3x. 6x+2 37-30 2 6x got t. t. bl.t ab+3alda-sb+4)-a nalda-3b+4)-q.

Câu hỏi :

Giúp mình với , gấp quá rồi huhu😢😢

image

Lời giải 1 :

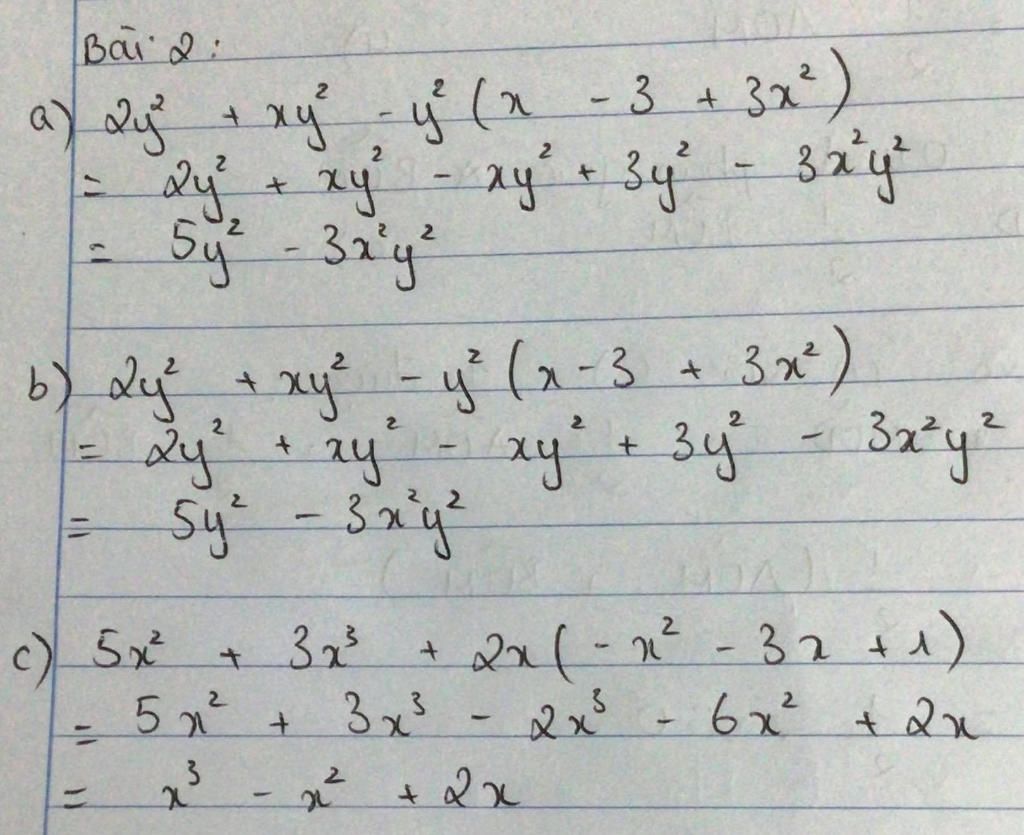
`a)`

`2y^2+xy^2-y^2(x-3+3x^2)`

`=2y^2+xy^2-xy^2+3y^2-3x^2y^2`

`=(2y^2+3y^2)+(xy^2-xy^2)-3x^2y^2`

`=5y^2-3x^2y^2`

`b)`

`2y^2+xy^2-y^2(x-3+3x^2)`

`=2y^2+xy^2-xy^2+3y^2-3x^2y^2`

`=(2y^2+3y^2)+(xy^2-xy^2)-3x^2y^2`

`=5y^2-3x^2y^2`

`c)`

`5x^2+3x^3+2x(-x^2-3x+1)`

`=5x^2+3x^3-2x^3-6x^2+2x`

`=(3x^3-2x^3)+(5x^2-6x^2)+2x`

`=x^3-x^2+2x`

`d)`

`1/2ab+3/2a(2a-3b+4)-a`

`=1/2ab+3a^2-9/2ab+6a-a`

`=3a^2+(1/2ab-9/2ab)+(6a-a)`

`=3a^2-4ab+5a`

Thảo luận

-- Ghê quá, dẹp cái tình yêu đấy của chị đi ._.
-- Không, em yêu chị như nào thì chị phải yêu lại gấp nhiều lần
-- Sợ quá==' Chị Diệu về quê thay đổi hết cả tính nết, tôi không quen người này. 🙍‍♂️
-- Hâhha cập nhật nhanh zaayj
-- Thôi em đi học đã, chào chị xấu xinh độc hiền 🙄
-- Ok học tệ tốt nha 😁😁
-- Ngồi yên nào 😒
-- Haha :v

Lời giải 2 :

Đáp án đây ạ ! Chúc bạn học tốt !

 

image
image

Bạn có biết?

Toán học là môn khoa học nghiên cứu về các số, cấu trúc, không gian và các phép biến đổi. Nói một cách khác, người ta cho rằng đó là môn học về "hình và số". Theo quan điểm chính thống neonics, nó là môn học nghiên cứu về các cấu trúc trừu tượng định nghĩa từ các tiên đề, bằng cách sử dụng luận lý học (lôgic) và ký hiệu toán học. Các quan điểm khác của nó được miêu tả trong triết học toán. Do khả năng ứng dụng rộng rãi trong nhiều khoa học, toán học được mệnh danh là "ngôn ngữ của vũ trụ".

Nguồn : Wikipedia - Bách khoa toàn thư

Tâm sự 8

Lớp 8 - Năm thứ ba ở cấp trung học cơ sở, học tập bắt đầu nặng dần, sang năm lại là năm cuối cấp áp lực lớn dần nhưng các em vẫn phải chú ý sức khỏe nhé!

Nguồn : ADMIN :))

Liên hệ hợp tác hoặc quảng cáo: gmail

Điều khoản dịch vụ

Copyright © 2021 HOCTAPSGK