Trang chủ Toán Học Lớp 7 Bài 3: (2 điểm): Cho hai đa thức 3 P(x)...

Bài 3: (2 điểm): Cho hai đa thức 3 P(x) = 1 + 3x – 4x² + x° + x³ – x? + 3x³ ; Q(x) = 4x – 5x? + 4x³ – 2x – x² + x – 4 a/ Thu gọn và sắp xếp các đa thức the

Câu hỏi :

Giúp em câu C với ạ Em cảm ơn.

image

Lời giải 1 :

Đáp án:

 

Giải thích các bước giải:

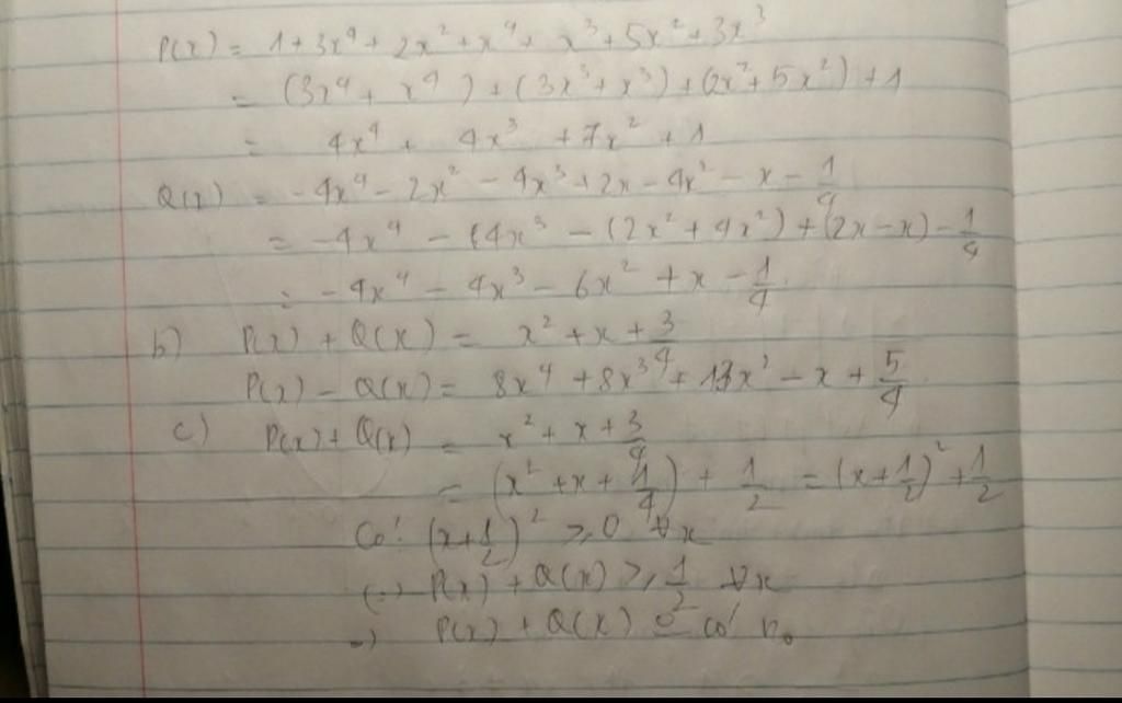
Ảnh 1 : thu gọn và sắp xếp đa thức theo lũy thừa giảm dần của biến 

Ảnh 2 : tính xem p(x)-Q(x) bằng bao nhiêu 

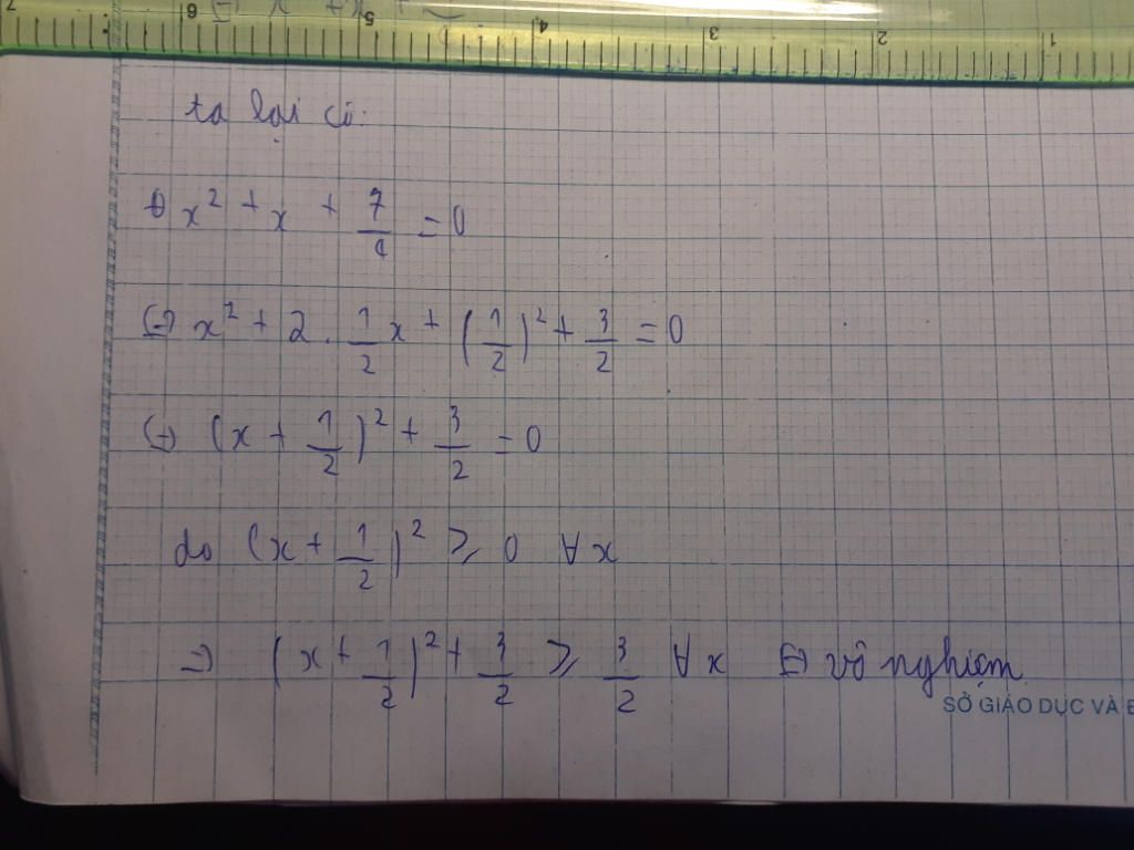
Ảnh 3 : chứng minh đa thức vừa tìm được vô nghiệm 

image
image
image

Thảo luận

-- cho anh cơ hội cuối đến 9 giưỡi đấy
-- đi ngủ đây
-- sắp hết giờ r đấy
-- k mua phải k
-- ngủ dyada
-- thôi em bán acc này còn đc nhiều tiền hơn là chuộc cho anh
-- k phải chuộc đâu
-- có thằng nó mua 300k r

Lời giải 2 :

Gửi bạn. Chúc bạn vui vẻ và mong nhận được ctlhn từ bạn nếu được!♥
image

Bạn có biết?

Toán học là môn khoa học nghiên cứu về các số, cấu trúc, không gian và các phép biến đổi. Nói một cách khác, người ta cho rằng đó là môn học về "hình và số". Theo quan điểm chính thống neonics, nó là môn học nghiên cứu về các cấu trúc trừu tượng định nghĩa từ các tiên đề, bằng cách sử dụng luận lý học (lôgic) và ký hiệu toán học. Các quan điểm khác của nó được miêu tả trong triết học toán. Do khả năng ứng dụng rộng rãi trong nhiều khoa học, toán học được mệnh danh là "ngôn ngữ của vũ trụ".

Nguồn : Wikipedia - Bách khoa toàn thư

Tâm sự 7

Lớp 7 - Năm thứ hai ở cấp trung học cơ sở, một cuồng quay mới lại đến vẫn bước tiếp trên đường đời học sinh. Học tập vẫn là nhiệm vụ chính!

Nguồn : ADMIN :))

Liên hệ hợp tác hoặc quảng cáo: gmail

Điều khoản dịch vụ

Copyright © 2021 HOCTAPSGK