Trang chủ Toán Học Lớp 9 Cminh các bất đẳng thức này nhé từ câu 13...

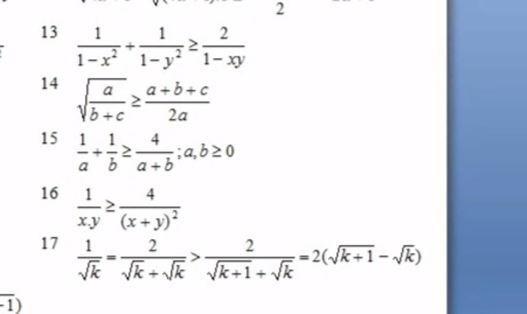
Cminh các bất đẳng thức này nhé từ câu 13 đến 16 60 điểm nha2 13 1 2 in 1- xy 1 1-x 1-y 14 a+b+c 2a 15 1 1 4 -+-2- ;a,b20 a b a+b 16 4 x.y (x+ y)? 17 1 2(k+1-

Câu hỏi :

Cminh các bất đẳng thức này nhé từ câu 13 đến 16 60 điểm nha

image

Lời giải 1 :

Đáp án + Giải thích các bước giải:

 13. $\dfrac{1}{1-x^2}+\dfrac1{1-y^2}\ge \dfrac{2}{1-xy}$

$↔ \dfrac{1}{1-x^2}+\dfrac1{1-y^2} - \dfrac{2}{1-xy} \ge 0$

$↔ \dfrac{1}{1-x^2}-\dfrac{1}{1-xy}+\dfrac1{1-y^2} - \dfrac{1}{1-xy} \ge 0$

$↔ \dfrac{1-xy-1+x^2}{(1-x^2)(1-xy)}+\dfrac{1-xy-1+y^2}{(1-y^2)(1-xy)}\ge 0$

$↔ \dfrac{-x(y-x)}{(1-x^2)(1-xy)}+\dfrac{y(y-x)}{(1-y^2)(1-xy)}\ge 0$

$↔ \dfrac{-x(y-x)(1-y^2)}{(1+x^2)(1-xy)(1-y^2)}+\dfrac{y(y-x)(1-x^2)}{(1-y^2)(1-xy)(1-x^2)}\ge 0$

$↔ (y-x)[-x(1-y^2)+y(1-x^2)]\ge 0$

$↔ (y-x)(-x+xy^2+y-x^2y)\ge 0$

$↔ (y-x)^2(1-xy)\ge 0\ ∀x,y$

Vậy bất đẳng thức đã cho luôn đúng.

Dấu $"="$ xảy ra khi $x=y$

 14. $\sqrt{\dfrac{a}{b+c}}\ge \dfrac{a+b+c}{2a}$

Áp dụng BĐT Cô-si ta có:

$\dfrac{b+c}{a}+1 \ge 2\sqrt{\dfrac{b+c}{a}}$

$↔ \left(\dfrac{b+c}{a}+1\right):2 \ge \sqrt{\dfrac{b+c}{a}}$

$↔\dfrac{2a}{a+b+c}\ge \sqrt{\dfrac{b+c}{a}}$

$↔ \sqrt{\dfrac{a}{b+c}}\ge \dfrac{a+b+c}{2a}$ (đpcm)

 15. $\dfrac1a+\dfrac1b \ge \dfrac{4}{a+b}$

$↔ \dfrac{a+b}{ab}\ge \dfrac{4}{a+b}$

$↔ \dfrac{(a+b)^2}{ab(a+b)}\ge \dfrac{4ab}{ab(a+b)}$

$↔ (a+b)^2\ge 4ab$

$↔ a^2+2ab+b^2-4ab\ge 0$

$↔ a^2-2ab+b^2\ge 0$

$↔ (a-b)^2 \ge 0\ ∀a,b\ge 0$

Vậy bất đẳng thức đã cho luôn đúng.

Dẫu $"="$ xảy ra khi $a=b$

 16. $\dfrac{1}{xy}\ge \dfrac4{(x+y)^2}$

$↔ \dfrac{(x+y)^2}{xy(x+y)^2}\ge \dfrac{4xy}{xy(x+y)^2}$

$↔ (x+y)^2\ge 4xy$

$↔ (x-y)^2\ge 0 \ ∀x,y$

Vậy bất đẳng thức đã cho luôn đúng.

Dấu $"="$ xảy ra khi $x=y$

 17. $\dfrac{2}{\sqrt k+\sqrt k}> \dfrac{2}{\sqrt{k+1}+\sqrt k}$

Giả sử: $\dfrac{2}{\sqrt k+\sqrt k}< \dfrac{2}{\sqrt{k+1}+\sqrt k}$

$↔ 2\sqrt k < \sqrt{k+1}+\sqrt k$

$↔ \sqrt{k}<\sqrt{k+1}$ (đúng)

$→ \dfrac{2}{2\sqrt{k}}>\dfrac{2}{\sqrt{k+1}+\sqrt{k}}$ (đpcm)

Thảo luận

-- Cả số âm nhân 0 cũng bằng 0 mà :)
-- Bđt sẽ đổi dấu đó ạ Thế ank c/m mẫu đó `>=0` đy
-- Pẹt cái đó cần c/m á :v
-- Nó hiển nhiên đúng thì khỏi c/m ạ
-- Nma đây nó có hiển nhiên đúng đâu
-- .-. Hzz em thử tự cm đi :)
-- Vì ank tự đổi đề nên em đi nhắc đấy chứ Còn em nghĩ đề đúng nó là dấu +
-- Ờm thế à sao em tìm được tới đây thế?

Bạn có biết?

Toán học là môn khoa học nghiên cứu về các số, cấu trúc, không gian và các phép biến đổi. Nói một cách khác, người ta cho rằng đó là môn học về "hình và số". Theo quan điểm chính thống neonics, nó là môn học nghiên cứu về các cấu trúc trừu tượng định nghĩa từ các tiên đề, bằng cách sử dụng luận lý học (lôgic) và ký hiệu toán học. Các quan điểm khác của nó được miêu tả trong triết học toán. Do khả năng ứng dụng rộng rãi trong nhiều khoa học, toán học được mệnh danh là "ngôn ngữ của vũ trụ".

Nguồn : Wikipedia - Bách khoa toàn thư

Tâm sự 9

Lớp 9 - Là năm cuối ở cấp trung học cơ sở, sắp phải bước vào một kì thi căng thẳng và sắp chia tay bạn bè, thầy cô và cả kì vọng của phụ huynh ngày càng lớn mang tên "Lên cấp 3". Thật là áp lực nhưng các em hãy cứ tự tin vào bản thân là sẻ vượt qua nhé!

Nguồn : ADMIN :))

Liên hệ hợp tác hoặc quảng cáo: gmail

Điều khoản dịch vụ

Copyright © 2021 HOCTAPSGK