Trang chủ Toán Học Lớp 9 Giả thiết chuyen động cua ba igườucu Câu 4: Tại...

Giả thiết chuyen động cua ba igườucu Câu 4: Tại hai địa điểm A và B trên một đường thắằng, lúc 6 giờ có hai xe chuyên động, một xe xuất phát tại A và một x

Câu hỏi :

🌻 giúp mình với ...............

image

Lời giải 1 :

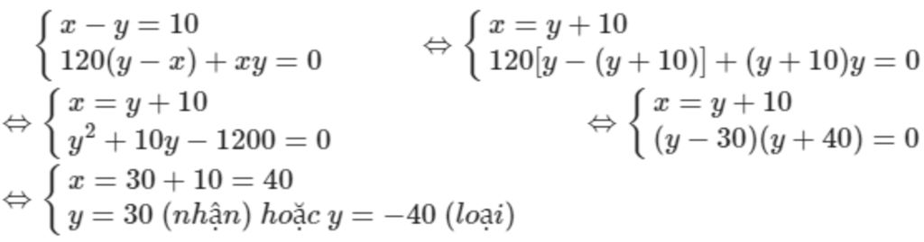
a) Gọi x; y(km/h) lần lượt là vận tốc của xe đi từ A và xe đi từ B (x>y>0)

Sau 3 giờ:

+)  Xe từ A đi được: 3x(km)

+)  Xe từ B đi được: 3y(km)

Ban đầu hai xe cách nhau một khoảng AB=30km, nên khi hai xe gặp nhau tại C sau 3 giờ thì:

3x−3y=30

⇔x−y=10 (1)

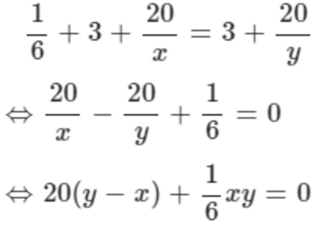
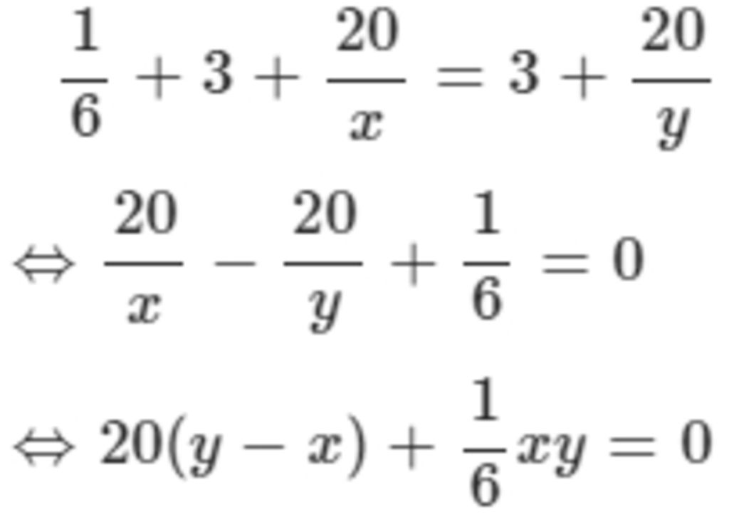
Thời gian xe từ A đi trên đoạn CD là: 20/x (giờ)

Thời gian xe từ B đi trên đoạn CD là: 20/y (giờ)

Vì hai xe đều đến C sau 3 giờ, đến D cùng lúc khi xe từ A xuất phát chậm hơn 10 phút = 1/6 giờ nên:

⇔120(y−x)+xy=0 (2)

Từ (1); (2) ta có hệ:

Vậy:

+) Vận tốc xe đi từ A là 40km/h

+) Vận tốc xe đi từ B là 30km/h

image
image
image

Thảo luận

Bạn có biết?

Toán học là môn khoa học nghiên cứu về các số, cấu trúc, không gian và các phép biến đổi. Nói một cách khác, người ta cho rằng đó là môn học về "hình và số". Theo quan điểm chính thống neonics, nó là môn học nghiên cứu về các cấu trúc trừu tượng định nghĩa từ các tiên đề, bằng cách sử dụng luận lý học (lôgic) và ký hiệu toán học. Các quan điểm khác của nó được miêu tả trong triết học toán. Do khả năng ứng dụng rộng rãi trong nhiều khoa học, toán học được mệnh danh là "ngôn ngữ của vũ trụ".

Nguồn : Wikipedia - Bách khoa toàn thư

Tâm sự 9

Lớp 9 - Là năm cuối ở cấp trung học cơ sở, sắp phải bước vào một kì thi căng thẳng và sắp chia tay bạn bè, thầy cô và cả kì vọng của phụ huynh ngày càng lớn mang tên "Lên cấp 3". Thật là áp lực nhưng các em hãy cứ tự tin vào bản thân là sẻ vượt qua nhé!

Nguồn : ADMIN :))

Liên hệ hợp tác hoặc quảng cáo: gmail

Điều khoản dịch vụ

Copyright © 2021 HOCTAPSGK