Trang chủ Toán Học Lớp 8 Bài I (2,0 điểm): Cho hai biểu thức: A =...

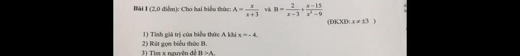
Bài I (2,0 điểm): Cho hai biểu thức: A = *-15 và B= x+3 x-3 x-9 (ĐKXĐ: x++3) 1) Tính giá trị của biểu thức A khi x=- 4. 2) Rút gọn biểu thức B. 3) Tìm x ng

Câu hỏi :

giup tttttttttttttttt

image

Lời giải 1 :

Đáp án:

`a)` `A=4`

`b)` `B=3/{x+3}` với `x\ne ±3`

`c)`  `x\in {-2;-1;0;1;2}`

Giải thích các bước giải:

`a)` `A=x/{x+3}`

Thay `x=-4` ta có: 

`A={-4}/{-4+3}={-4}/{-1}=4`

Vậy khi `x=-4` thì `A=4`

$\\$

`b)` `B=2/{x-3}+{x-15}/{x^2-9}\ (x\ne ±3)`

`B={2(x+3)}/{(x-3)(x+3)}+{x-15}/{(x-3)(x+3)}`

`B={2x+6+x-15}/{(x-3)(x+3)}`

`B={3x-9}/{(x-3)(x+3)}={3(x-3)}/{(x-3)(x+3)}`

`B=3/{x+3}`

Vậy `B=3/{x+3}` với `x\ne ±3`

$\\$

`c)` Để `B>A`

`<=>3/{x+3}>x/{x+3}` `(x\ne ±3)`

`<=>3/{x+3}-x/{x+3}>0`

`<=>{3-x}/{x+3}>0`

`<=>`$\left[\begin{array}{l}\begin{cases}3-x>0\\x+3>0\end{cases}\\\begin{cases}3-x<0\\x+3<0\end{cases}\end{array}\right.$

`<=>`$\left[\begin{array}{l}\begin{cases}x<3\\x> -3\end{cases}\\\begin{cases}x>3\\x<-3\end{cases}\ (loại)\end{array}\right.$

`=>-3<x<3`

Mà `x\in ZZ=>x\in {-2;-1;0;1;2}`

Vậy các giá trị nguyên của `x` thỏa `B>A` là: `x\in {-2;-1;0;1;2}`

Thảo luận

-- e lm đúng nhưng bị xóa, kháng cáo thì ad lại từ chối, bảo là mod xóa đúng
-- e chắc chắn là e làm đúng 100% và rất đầy đủ ạ
-- Bây giờ vẫn còn 1 slot, bạn làm lại xem sao nhé
-- vấn đề ở đây là mod duyệt sai ấy ạ, chứ tl thì e tl cả chục câu khác cx đc
-- Mấy vấn đề này toàn gửi kháng cáo để Ad xử lý thôi bạn ạ, bạn có thể gửi lại lần nữa xem sao (viết lý do chi tiết 1 chút, hoặc muốn như thế nào thì viết rõ luôn để Ad có câu trả lời hài lòng cho bạn)
-- gửi r mà bị từ chối thì ko gửi lại đc ạ
-- Vậy bạn trả lời giống lần trước của bạn thử xem sao
-- r ạ, cj check giúp e vs ạ

Bạn có biết?

Toán học là môn khoa học nghiên cứu về các số, cấu trúc, không gian và các phép biến đổi. Nói một cách khác, người ta cho rằng đó là môn học về "hình và số". Theo quan điểm chính thống neonics, nó là môn học nghiên cứu về các cấu trúc trừu tượng định nghĩa từ các tiên đề, bằng cách sử dụng luận lý học (lôgic) và ký hiệu toán học. Các quan điểm khác của nó được miêu tả trong triết học toán. Do khả năng ứng dụng rộng rãi trong nhiều khoa học, toán học được mệnh danh là "ngôn ngữ của vũ trụ".

Nguồn : Wikipedia - Bách khoa toàn thư

Tâm sự 8

Lớp 8 - Năm thứ ba ở cấp trung học cơ sở, học tập bắt đầu nặng dần, sang năm lại là năm cuối cấp áp lực lớn dần nhưng các em vẫn phải chú ý sức khỏe nhé!

Nguồn : ADMIN :))

Liên hệ hợp tác hoặc quảng cáo: gmail

Điều khoản dịch vụ

Copyright © 2021 HOCTAPSGK