Trang chủ Toán Học Lớp 5 367,07 +83,572 1013,6 : 36,2 301,2 238,59 58,2 x 3,15...

367,07 +83,572 1013,6 : 36,2 301,2 238,59 58,2 x 3,15 Bài 2. a, Điền số thích hợp vào chỗ chấm 3,02 ha . .m 219 phút = ....giờ .... phút 3 giờ 18 phút = ..

Câu hỏi :

Làm hết giúp mik nha

image

Lời giải 1 :

B2: Giải 35 cuốn sách giáo lớp6 tập 1 nặng là: 300 x(35:2)=5250 (g) Đáp số: 5250 gam
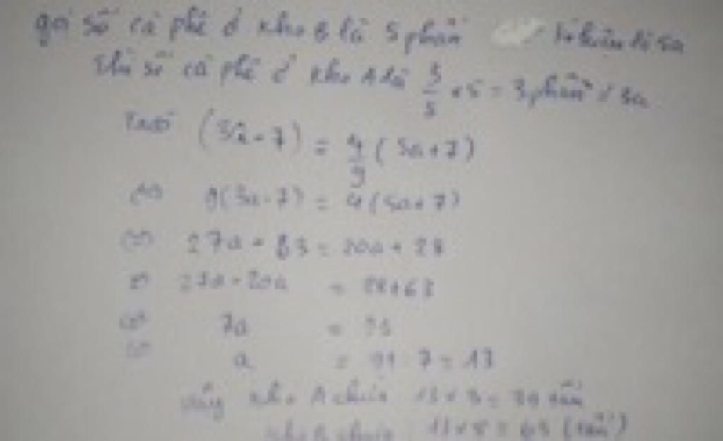
image
image
image

Thảo luận

Lời giải 2 :

Đáp án + Giải thích các bước giải:

Bài 1: Trong hình

Bài 2: Trong hình

Bài 3: Trong hình

Bài 4: 0,2 ; $\frac{7}{5}$ ; 3$\frac{1}{2}$ ; $\frac{3}{4}$ 

Bài 5: 

Đổi 3 tấn 150 kg = 3150 kg

Ngày đầu của hàng bán được số kg gạo là:

3150 × 31 : 100 = 976,5 (kg)

Ngày thứ hai bán được: 

3150 × 2/5 = 1260 (kg)

Trong kho còn lại số kg là:

3150 - 976,5 - 1260 = 913,5 (kg)

Đáp số: 913,5 kg

Bài 6: 

Tổng số phần xếp loại giỏi với loại khá là:

   1/5 + 1/3 = 8/15

10 em xếp loại trung bình ứng với số phần là:

   1 - 8/15 = 7/15 (HS)

a) Số HS khối 5 là:

   70 : 7/15 = 150 (HS)

b) Số HS loại giỏilà:

   150 x 1/5 = 30 (HS)

Số HS loại khá là: 

   150 x 1/3 = 50 (HS)

       Đáp số: a) 150 HS

                     b) 30 HS giỏi ; 50 HS khá

image
image
image

Bạn có biết?

Toán học là môn khoa học nghiên cứu về các số, cấu trúc, không gian và các phép biến đổi. Nói một cách khác, người ta cho rằng đó là môn học về "hình và số". Theo quan điểm chính thống neonics, nó là môn học nghiên cứu về các cấu trúc trừu tượng định nghĩa từ các tiên đề, bằng cách sử dụng luận lý học (lôgic) và ký hiệu toán học. Các quan điểm khác của nó được miêu tả trong triết học toán. Do khả năng ứng dụng rộng rãi trong nhiều khoa học, toán học được mệnh danh là "ngôn ngữ của vũ trụ".

Nguồn : Wikipedia - Bách khoa toàn thư

Tâm sự 5

Lớp 5 - Là năm cuối cấp tiểu học, áp lực thi cử nhiều mà sắp phải xa trường lớp, thầy cô, ban bè thân quen. Đây là năm mà các em sẽ gặp nhiều khó khăn nhưng các em đừng lo nhé mọi chuyện sẽ tốt lên thôi !

Nguồn : ADMIN :))

Liên hệ hợp tác hoặc quảng cáo: gmail

Điều khoản dịch vụ

Copyright © 2021 HOCTAPSGK