Trang chủ Toán Học Lớp 9 quãng đường AB dài 50km . Hai xe máy khởi...

quãng đường AB dài 50km . Hai xe máy khởi hành cùng 1 lúc từ A đến B . Vận tốc xe 1 lớn hơn xe 2 là 10km/h . nên xe 1 tới trc xe2 15 phút tính vận tốc 2 xe

Câu hỏi :

quãng đường AB dài 50km . Hai xe máy khởi hành cùng 1 lúc từ A đến B . Vận tốc xe 1 lớn hơn xe 2 là 10km/h . nên xe 1 tới trc xe2 15 phút tính vận tốc 2 xe

Lời giải 1 :

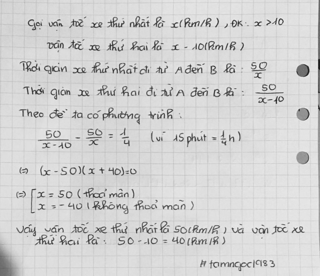
.

image

Thảo luận

-- 1/4 ở đâu vậy ạ
-- 15 Phút =1/4 giờ nha
-- à hiểu rùi thank
-- Xin hay nhất nha
-- Bạn ơi
-- Cái phương trình bạn có thể bấm máy tính để nó phân tích cho dễ hiểu
-- tui làm theo kiểu quy đồng bên dưới cho dễ hỉu kk
-- Ừ thế cũng đc

Lời giải 2 :

Gọi `x` là vận tốc của xe thứ `2``(x>0)`(km/h)

Vận tốc của xe thứ `1`:`x+10`(km/h)

Thời gian xe thứ nhất đi từ `A` đến `B`:`50/(x+10)(h)`

Thời gian xe thứ `2` đi từ `A` đến `B``:50/x(h)`

Vì xe thứ nhất đến trước xe thứ `2` là `15` phút`=1/4(h)` nên ta có pt:

`50/x - 50/(x+10)=1/4`

`⇔(200x+2000)/(4x^2+40x) - (200x)/(4x^2+40x)=(x^2+10x)/(4x^2+40x)`

`⇒200x+2000-200x=x^2+10x`

`⇔2000=x^2+10x`

`⇔-x^2-10x+2000=0`

`⇔-x^2-50x+40x+2000=0`

`⇔-x(x+50)+40(x+50)=0`

`⇔(x+50)(-x+40)=0`

`⇔`\(\left[ \begin{array}{l}x+50=0\\-x+40=0\end{array} \right.\) 

`⇔`\(\left[ \begin{array}{l}x=-50(loại)\\x=40(tm)\end{array} \right.\) 

Vận tốc của xe thứ `2` là:`40`(km/h)

Vận tốc của xe thứ nhất:`40+10=50`(km/h)

 

Bạn có biết?

Toán học là môn khoa học nghiên cứu về các số, cấu trúc, không gian và các phép biến đổi. Nói một cách khác, người ta cho rằng đó là môn học về "hình và số". Theo quan điểm chính thống neonics, nó là môn học nghiên cứu về các cấu trúc trừu tượng định nghĩa từ các tiên đề, bằng cách sử dụng luận lý học (lôgic) và ký hiệu toán học. Các quan điểm khác của nó được miêu tả trong triết học toán. Do khả năng ứng dụng rộng rãi trong nhiều khoa học, toán học được mệnh danh là "ngôn ngữ của vũ trụ".

Nguồn : Wikipedia - Bách khoa toàn thư

Tâm sự 9

Lớp 9 - Là năm cuối ở cấp trung học cơ sở, sắp phải bước vào một kì thi căng thẳng và sắp chia tay bạn bè, thầy cô và cả kì vọng của phụ huynh ngày càng lớn mang tên "Lên cấp 3". Thật là áp lực nhưng các em hãy cứ tự tin vào bản thân là sẻ vượt qua nhé!

Nguồn : ADMIN :))

Liên hệ hợp tác hoặc quảng cáo: gmail

Điều khoản dịch vụ

Copyright © 2021 HOCTAPSGK