Trang chủ Toán Học Lớp 11 Hiểu đơn giản thì đạo hàm là gì câu hỏi...

Hiểu đơn giản thì đạo hàm là gì câu hỏi 2001720 - hoctapsgk.com

Câu hỏi :

Hiểu đơn giản thì đạo hàm là gì

Lời giải 1 :

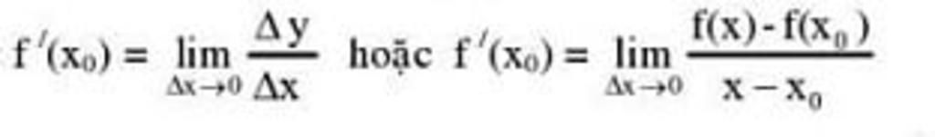
Giới hạn, nếu có, của tỉ số giữa số gia của hàm số và số gia của đối số tại x0, khi số gia của đối số tiến dần tới 0, được gọi là đạo hàm của hàm số y=f(x) tại điểm x0.

Đạo hàm của hàm số y=f(x) được ký hiệu là y′(x0) hoặc f′(x0)(trong ảnh)

- Số gia của đối số là Δx=x-$x_{0}$ 

- Số gia của hàm số là Δy=y -$y_{0}$ 

Xin hay nhất+vote5s+1tym

image

Thảo luận

Lời giải 2 :

$\text{Định nghĩa đạo hàm:}$

$\text{Đạo hàm của một hàm số là một đại lượng mô tả sự biến thiên của hàm tại một điểm nào đó. Đạo hàm là một khái niệm cơ bản trong giải tích.}$

Bạn có biết?

Toán học là môn khoa học nghiên cứu về các số, cấu trúc, không gian và các phép biến đổi. Nói một cách khác, người ta cho rằng đó là môn học về "hình và số". Theo quan điểm chính thống neonics, nó là môn học nghiên cứu về các cấu trúc trừu tượng định nghĩa từ các tiên đề, bằng cách sử dụng luận lý học (lôgic) và ký hiệu toán học. Các quan điểm khác của nó được miêu tả trong triết học toán. Do khả năng ứng dụng rộng rãi trong nhiều khoa học, toán học được mệnh danh là "ngôn ngữ của vũ trụ".

Nguồn : Wikipedia - Bách khoa toàn thư

Tâm sự 11

Lớp 11 - Năm thứ hai ở cấp trung học phổ thông, gần đến năm cuối cấp nên học tập là nhiệm vụ quan trọng nhất. Nghe nhiều đến định hướng sau này rồi học đại học. Ôi nhiều lúc thật là sợ, hoang mang nhưng các em hãy tự tin và tìm dần điều mà mình muốn là trong tương lai nhé!

Nguồn : ADMIN :))

Liên hệ hợp tác hoặc quảng cáo: gmail

Điều khoản dịch vụ

Copyright © 2021 HOCTAPSGK