Trang chủ Tiếng Anh Lớp 9 Giupps mk vs ak mk đg ôn thi ak câu...

Giupps mk vs ak mk đg ôn thi ak câu hỏi 1985214 - hoctapsgk.com

Câu hỏi :

Giupps mk vs ak mk đg ôn thi ak

image

Lời giải 1 :

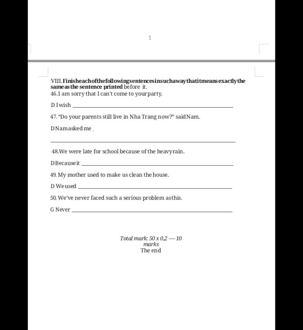
46. I wish I could come to your party ( wish +vế sau lùi một thì) 

47.Nam asked me if my parents still lived in Nha Trang then (câu gián tiếp với câu hỏi Wh)

48. Because it rained heavily, we were late for school 

 49.We used to be made to clean the house by my mother  ( câu bị động) 

50. Never have we faced such a serious problem asthis ( câu đảo ngữ ) 

Thảo luận

Lời giải 2 :

1 I wish i could come to your party

3 because it had a heavy rain, we were late for school

Bạn có biết?

Tiếng Anh hay Anh Ngữ (English /ˈɪŋɡlɪʃ/ ) là một ngôn ngữ German Tây, được nói từ thời thời Trung cổ tại Anh, ngày nay là lingua franca toàn cầu.Từ English bắt nguồn từ Angle, một trong những bộ tộc German đã di cư đến Anh (chính từ "Angle" lại bắt nguồn từ bán đảo Anglia (Angeln) bên biển Balt)

Nguồn : Wikipedia - Bách khoa toàn thư

Tâm sự 9

Lớp 9 - Là năm cuối ở cấp trung học cơ sở, sắp phải bước vào một kì thi căng thẳng và sắp chia tay bạn bè, thầy cô và cả kì vọng của phụ huynh ngày càng lớn mang tên "Lên cấp 3". Thật là áp lực nhưng các em hãy cứ tự tin vào bản thân là sẻ vượt qua nhé!

Nguồn : ADMIN :))

Liên hệ hợp tác hoặc quảng cáo: gmail

Điều khoản dịch vụ

Copyright © 2021 HOCTAPSGK