Trang chủ Hóa Học Lớp 9 E là oxit kim loại M, trong đó oxi chiếm...

E là oxit kim loại M, trong đó oxi chiếm 20% khối lượng, cho dòng khí CO(thiếu) đi qua ống sứ chứa x gam chất rắn E đốt nóng.Sau phản ứng khối lượng chất rắn c

Câu hỏi :

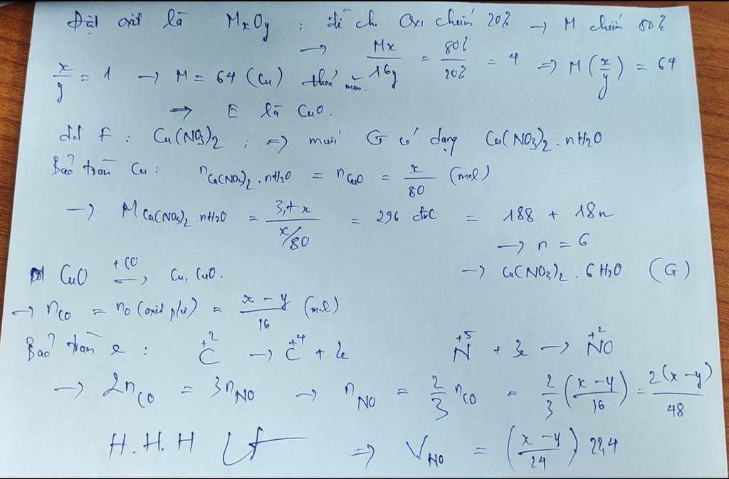
E là oxit kim loại M, trong đó oxi chiếm 20% khối lượng, cho dòng khí CO(thiếu) đi qua ống sứ chứa x gam chất rắn E đốt nóng.Sau phản ứng khối lượng chất rắn còn lại trong ống sứ là y gam.Hòa tan hết y gam này vào lượng dư dung dịch HNO3 loãng thu được dung dịch F và khí NO duy nhất bay ra.Cô cạn dung dịch F thu được 3,7x gam muối G. a)Xác định công thức của E,G b) tính thể tích khí NO điều kiện tiêu chuẩn theo x và y

Lời giải 1 :

gửi e

 

image

Thảo luận

Bạn có biết?

Hóa học, một nhánh của khoa học tự nhiên, là ngành nghiên cứu về thành phần, cấu trúc, tính chất, và sự thay đổi của vật chất.Hóa học nói về các nguyên tố, hợp chất, nguyên tử, phân tử, và các phản ứng hóa học xảy ra giữa những thành phần đó.Hóa học đôi khi được gọi là "khoa học trung tâm" vì nó là cầu nối các ngành khoa học tự nhiên khác như vật lý học, địa chất học và sinh học.

Nguồn : Wikipedia - Bách khoa toàn thư

Tâm sự 9

Lớp 9 - Là năm cuối ở cấp trung học cơ sở, sắp phải bước vào một kì thi căng thẳng và sắp chia tay bạn bè, thầy cô và cả kì vọng của phụ huynh ngày càng lớn mang tên "Lên cấp 3". Thật là áp lực nhưng các em hãy cứ tự tin vào bản thân là sẻ vượt qua nhé!

Nguồn : ADMIN :))

Liên hệ hợp tác hoặc quảng cáo: gmail

Điều khoản dịch vụ

Copyright © 2021 HOCTAPSGK