Trang chủ Toán Học Lớp 9 2) Cho parabol (P): y=x và dường thàng d:y= 4x-m...

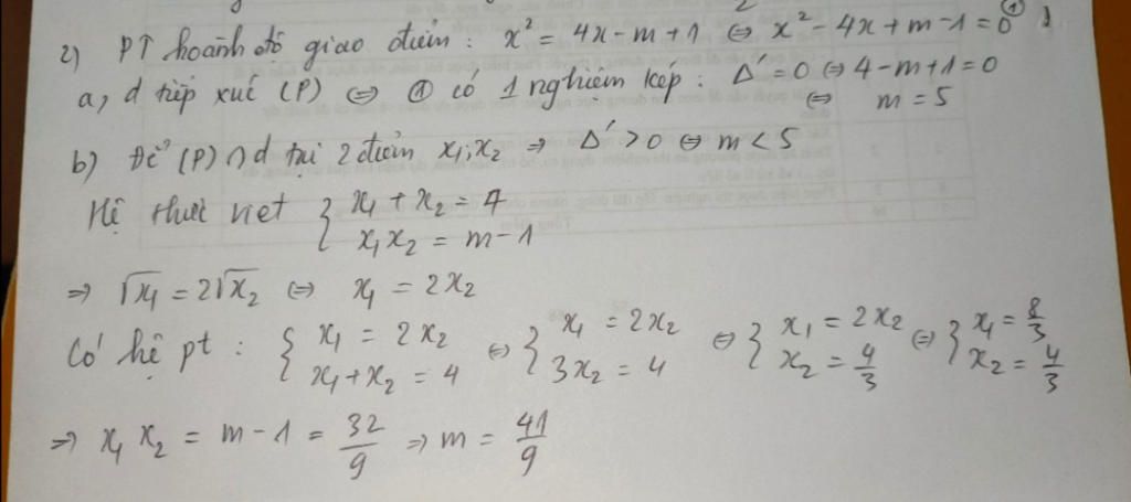
2) Cho parabol (P): y=x và dường thàng d:y= 4x-m + | a) Tim m de d tiếp xúc vói (P) m la tham SO) b) Gọi hoành độ giao điểm của d và (P) là x,; x. Tìm m để

Câu hỏi :

biểu thức ở phần b, giải thế nào ạ

image

Lời giải 1 :

Nếu bn thấy hay cho 5 sao và cám ơn

image

Thảo luận

-- Cho mình ctlhn nha
-- Thank 😍
-- thx ạ

Lời giải 2 :

Vi-ét đối xứng

B1: xét pt hoành độ giao điểm....

B2: tính Δ =>  tính 2 nghiệm x1;x2

B3: thêm điều kiện để tồn tại √x1 và √2x2 thì ta phải có:

x1 ≥0

x2≥0

B4: √x1 = √2x2

⇔x1=2x2

Bạn có biết?

Toán học là môn khoa học nghiên cứu về các số, cấu trúc, không gian và các phép biến đổi. Nói một cách khác, người ta cho rằng đó là môn học về "hình và số". Theo quan điểm chính thống neonics, nó là môn học nghiên cứu về các cấu trúc trừu tượng định nghĩa từ các tiên đề, bằng cách sử dụng luận lý học (lôgic) và ký hiệu toán học. Các quan điểm khác của nó được miêu tả trong triết học toán. Do khả năng ứng dụng rộng rãi trong nhiều khoa học, toán học được mệnh danh là "ngôn ngữ của vũ trụ".

Nguồn : Wikipedia - Bách khoa toàn thư

Tâm sự 9

Lớp 9 - Là năm cuối ở cấp trung học cơ sở, sắp phải bước vào một kì thi căng thẳng và sắp chia tay bạn bè, thầy cô và cả kì vọng của phụ huynh ngày càng lớn mang tên "Lên cấp 3". Thật là áp lực nhưng các em hãy cứ tự tin vào bản thân là sẻ vượt qua nhé!

Nguồn : ADMIN :))

Liên hệ hợp tác hoặc quảng cáo: gmail

Điều khoản dịch vụ

Copyright © 2021 HOCTAPSGK