Trang chủ Hóa Học Lớp 9 để hấp thụ hoàn toàn 22,4 lít khí CO2 ở...

để hấp thụ hoàn toàn 22,4 lít khí CO2 ở điều kiện tiêu chuẩn cần 150 gam dung dịch NaOH 40% ( D = 1, 25 gam trên ml) thu được dung dịch X a,Tính CM của các ch

Câu hỏi :

để hấp thụ hoàn toàn 22,4 lít khí CO2 ở điều kiện tiêu chuẩn cần 150 gam dung dịch NaOH 40% ( D = 1, 25 gam trên ml) thu được dung dịch X a,Tính CM của các chất trong x b, Tính C phần trăm của các chất trong X c, để trung hòa lượng NaOH ở trên cần dùng bao nhiêu ml dung dịch HCl 2,5 M

Lời giải 1 :

nCO2=22,4/22,4=1mol

mNaOH=150*40/100=60g

nNaOH=60/40=1,5mol

nNaOH/nCO2=1,5/1=1,5

→tạo thành 2 muối

2NaOH+CO2→Na2CO3+H2O(1)

a              0,5a      0,5a

NaOH+CO2→NaHCO3(2)

b             b           b

Gọi nNaOH(1) là a, nNaOH(2) là b

 a+b=1,5

0,5a+b=1

⇒a=1

b=0,5

Vdd=150/1,25=120ml=0,12l

CM Na2CO3=0,5/0,12=4,16M

CM NaHCO3=0,5/0,12=4,16M

mNa2CO3=0,5*106=53g

mNaHCO3=0,5*84=42g

mdd sau phản ứng=150+1*44=194g

C%Na2CO3=53/194*100%=27,31%

C%NaHCO3=42/194*100%=21,65%

c) NaOH+HCl→NaCl+H2O

     1,5         1,5

Vdd HCl=1,5/2,5=0,6l

 

Thảo luận

-- Chỗ 2NaOH + CO2 -> Na2CO3 +H2O 2a a a NaOH +CO2 -> NaHCO3 b b b => a=0,5 b=0,5 phải làm thế này phải không bạ... xem thêm
-- đúng r đí
-- đó

Lời giải 2 :

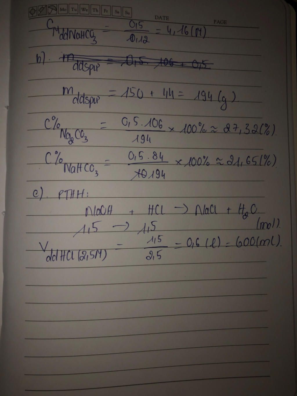
Đáp án: xem hình nhá bạn ơi

 

Giải thích các bước giải:

 

image
image

Bạn có biết?

Hóa học, một nhánh của khoa học tự nhiên, là ngành nghiên cứu về thành phần, cấu trúc, tính chất, và sự thay đổi của vật chất.Hóa học nói về các nguyên tố, hợp chất, nguyên tử, phân tử, và các phản ứng hóa học xảy ra giữa những thành phần đó.Hóa học đôi khi được gọi là "khoa học trung tâm" vì nó là cầu nối các ngành khoa học tự nhiên khác như vật lý học, địa chất học và sinh học.

Nguồn : Wikipedia - Bách khoa toàn thư

Tâm sự 9

Lớp 9 - Là năm cuối ở cấp trung học cơ sở, sắp phải bước vào một kì thi căng thẳng và sắp chia tay bạn bè, thầy cô và cả kì vọng của phụ huynh ngày càng lớn mang tên "Lên cấp 3". Thật là áp lực nhưng các em hãy cứ tự tin vào bản thân là sẻ vượt qua nhé!

Nguồn : ADMIN :))

Liên hệ hợp tác hoặc quảng cáo: gmail

Điều khoản dịch vụ

Copyright © 2021 HOCTAPSGK