Trang chủ Tiếng Anh Lớp 8 You are going to read an advertising leaflet about hot-air...

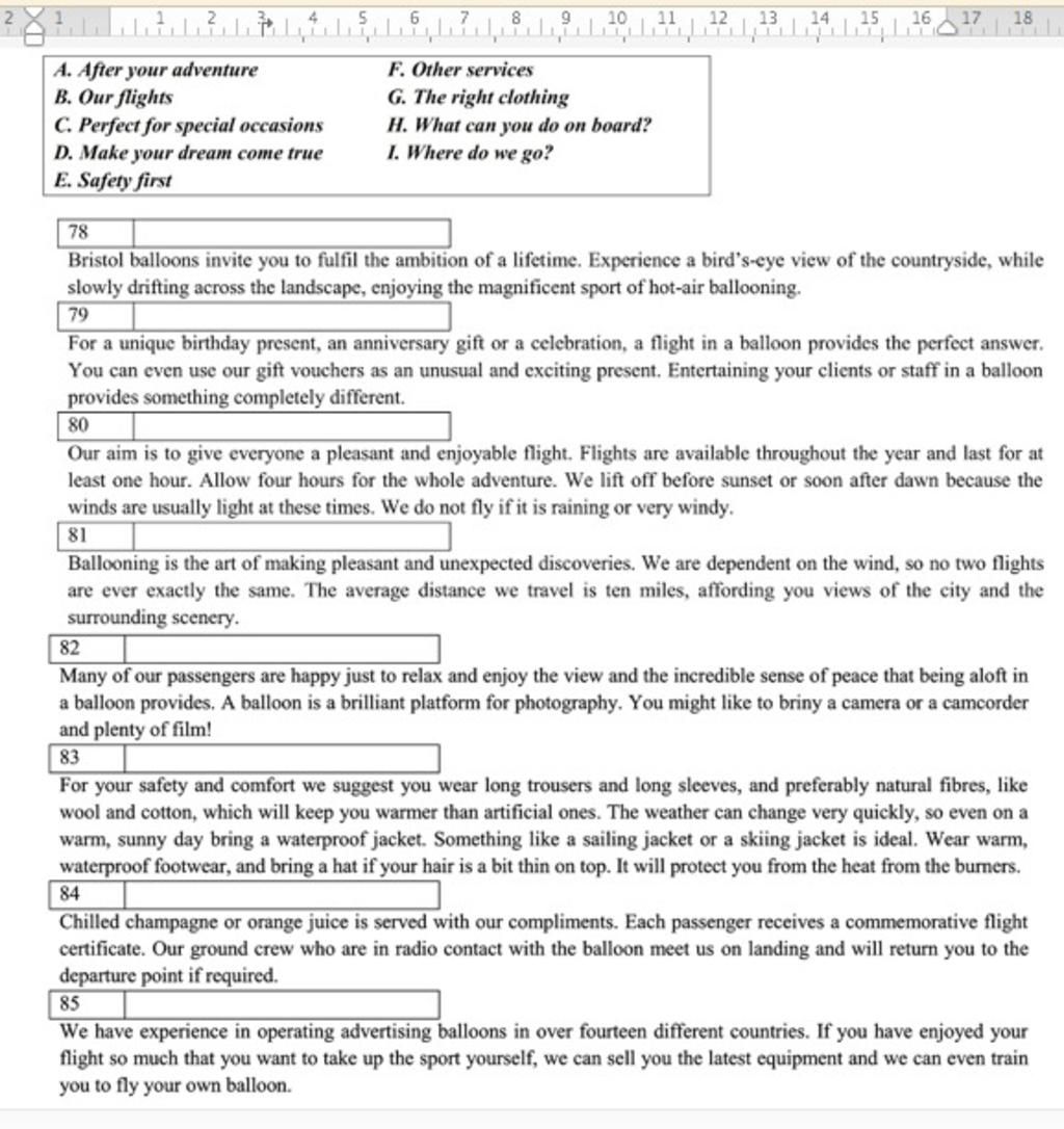
You are going to read an advertising leaflet about hot-air ballooning. Choose the most suitable heading from the list A-I for each part (78-85) of the text. Th

Bạn có biết?

Tiếng Anh hay Anh Ngữ (English /ˈɪŋɡlɪʃ/ ) là một ngôn ngữ German Tây, được nói từ thời thời Trung cổ tại Anh, ngày nay là lingua franca toàn cầu.Từ English bắt nguồn từ Angle, một trong những bộ tộc German đã di cư đến Anh (chính từ "Angle" lại bắt nguồn từ bán đảo Anglia (Angeln) bên biển Balt)

Nguồn : Wikipedia - Bách khoa toàn thư

Tâm sự 8

Lớp 8 - Năm thứ ba ở cấp trung học cơ sở, học tập bắt đầu nặng dần, sang năm lại là năm cuối cấp áp lực lớn dần nhưng các em vẫn phải chú ý sức khỏe nhé!

Nguồn : ADMIN :))

Liên hệ hợp tác hoặc quảng cáo: gmail

Điều khoản dịch vụ

Copyright © 2021 HOCTAPSGK