Trang chủ Toán Học Lớp 8 2.1 người đi xe máy từ A đến B với...

2.1 người đi xe máy từ A đến B với vận tốc 25km/h.Lúc về người đó đi với vận tốc 30km/h,nên thời gian về ít hơn thời gian đi 20 phút.Tính quãng đường AB 3.Cho

Câu hỏi :

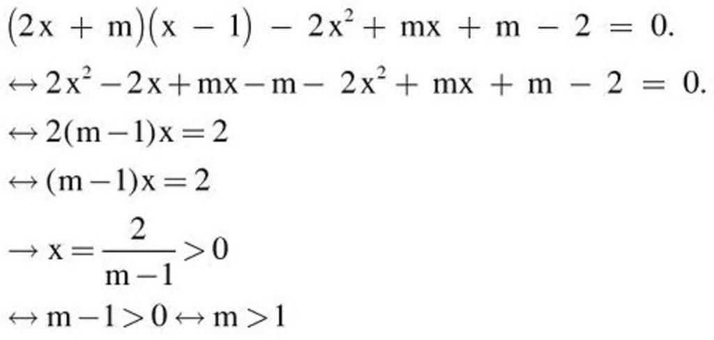
2.1 người đi xe máy từ A đến B với vận tốc 25km/h.Lúc về người đó đi với vận tốc 30km/h,nên thời gian về ít hơn thời gian đi 20 phút.Tính quãng đường AB 3.Cho tam giác ABC có AH là đường cao (H thuộc BC). Gọi D và E lần lượt là hình chiếu của H trên AB và AC. Chứng minh rằng a.Tam giác ABH đồng dạng với tam giác AHD b.HE ²=AE.CE c.Gọi M là giao điểm của BE và CD. Chứng minh rằng tam giác DBM ~ tam giác ECM. 4.Cho phương trình ẩn x sau:(2x+m)(x-1)-2x ²+mx+m-2=0. Tìm các giá trị của m để phương trình có nghiệm là một số không âm.

Lời giải 1 :

2.1 Đổi: 20 phút  x30−x25=13

Với quãng đường AB là x (km), thời gian người đó đi hết quãng đường lúc đi là: x25(h); thời gian người đó đ quãng đường AB lúc về là:  x30(h);

Theo đề bài ta có phương trình:  x25−x30=13.

Chọn C.

Cho mình xin hay nhất ạ !

 

image
image

Thảo luận

Bạn có biết?

Toán học là môn khoa học nghiên cứu về các số, cấu trúc, không gian và các phép biến đổi. Nói một cách khác, người ta cho rằng đó là môn học về "hình và số". Theo quan điểm chính thống neonics, nó là môn học nghiên cứu về các cấu trúc trừu tượng định nghĩa từ các tiên đề, bằng cách sử dụng luận lý học (lôgic) và ký hiệu toán học. Các quan điểm khác của nó được miêu tả trong triết học toán. Do khả năng ứng dụng rộng rãi trong nhiều khoa học, toán học được mệnh danh là "ngôn ngữ của vũ trụ".

Nguồn : Wikipedia - Bách khoa toàn thư

Tâm sự 8

Lớp 8 - Năm thứ ba ở cấp trung học cơ sở, học tập bắt đầu nặng dần, sang năm lại là năm cuối cấp áp lực lớn dần nhưng các em vẫn phải chú ý sức khỏe nhé!

Nguồn : ADMIN :))

Liên hệ hợp tác hoặc quảng cáo: gmail

Điều khoản dịch vụ

Copyright © 2021 HOCTAPSGK