Trang chủ Toán Học Lớp 7 Bài ` 5: ` Số học sinh của `4` khối...

Bài ` 5: ` Số học sinh của `4` khối `6,7,8,9` lần lượt là `9;8;7;6.` Biết rằng số học sinh khối `9` ít hơn số học sinh khối `7` là `70` học sinh. Tính học sinh

Câu hỏi :

Bài ` 5: ` Số học sinh của `4` khối `6,7,8,9` lần lượt là `9;8;7;6.` Biết rằng số học sinh khối `9` ít hơn số học sinh khối `7` là `70` học sinh. Tính học sinh mỗi khối.

Lời giải 1 :

Đáp án `+` Giải thích các bước giải:

Bài `\color{red}{5} :`
Gọi số học sinh của `4` khối lần lượt từ `6;7;8;9` là `a;b;c;d(học  sinh)(a;b;c;d \in NN^{**})`
Do số học sinh khối `9` ít hơn số học sinh khối `7` là `70` học sinh
Áp dụng tính chất của dãy tỉ số bằng nhau,ta có :
`a/9 = b/8 = c/7 = d/6 = (b-d)/(8-6) = 70/2 = 35`
`=>{(a/9 = 35),(b/8 = 35),(c/7 = 35),(d/6 = 35):} <=>{(a = 315),(b = 280),(c=245),(d = 210):}`
Vậy số học sinh của khối `6;7;8;9` lần lượt là `315;280;245;210` học sinh.

Thảo luận

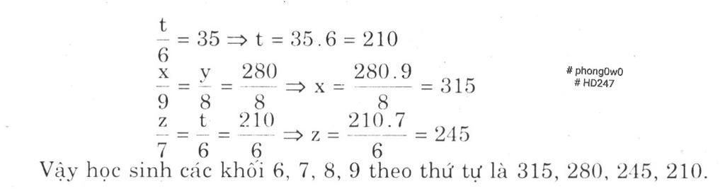
Lời giải 2 :

$# 𝓖𝓻𝓮𝓮𝓷$

image
image

Bạn có biết?

Toán học là môn khoa học nghiên cứu về các số, cấu trúc, không gian và các phép biến đổi. Nói một cách khác, người ta cho rằng đó là môn học về "hình và số". Theo quan điểm chính thống neonics, nó là môn học nghiên cứu về các cấu trúc trừu tượng định nghĩa từ các tiên đề, bằng cách sử dụng luận lý học (lôgic) và ký hiệu toán học. Các quan điểm khác của nó được miêu tả trong triết học toán. Do khả năng ứng dụng rộng rãi trong nhiều khoa học, toán học được mệnh danh là "ngôn ngữ của vũ trụ".

Nguồn : Wikipedia - Bách khoa toàn thư

Tâm sự 7

Lớp 7 - Năm thứ hai ở cấp trung học cơ sở, một cuồng quay mới lại đến vẫn bước tiếp trên đường đời học sinh. Học tập vẫn là nhiệm vụ chính!

Nguồn : ADMIN :))

Liên hệ hợp tác hoặc quảng cáo: gmail

Điều khoản dịch vụ

Copyright © 2021 HOCTAPSGK