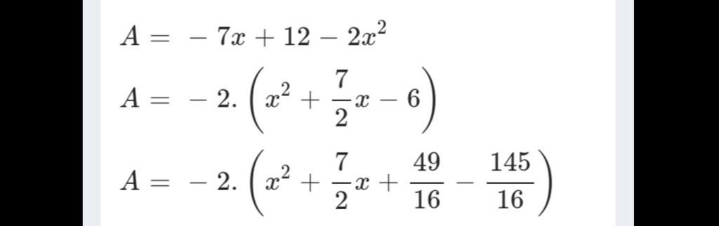
A = A A = = - 7x + 12 - 2x² 7 - 2. (2² + 1 - 2 - 6) 2 7 49 145 -2. (2² + 1 ² + 16-16) 2

Câu hỏi :

Đề tìm Gtln: giải thích giúp mk dòng thứ 3 với ạ

image

Lời giải 1 :

Đáp án+Giải thích các bước giải:

 * dòng thứ ba tách vậy để có được hằng đẳng thức  , cụ thể tách :

`A=-2 . (x^2 + 7/2 x - 6 )`

`=-2 . [x^2 + 2.x . 7/4 + (7/4)^2 - 145/16]` 

`=-2 . (x^2 + 7/2x + 49/16 - 145/16)`

`= - 2 . [(x+ 7/4)^2 - 145/16]`

* Cách biến đổi này áp dụng hằng đẳng thức : `(a+b)^2 = a^2 + 2ab + b^2`

-------------------------------------

* Giải thích thêm : `(7/4)^2 - 145/16 = 49/16 - 145/16 = -96/16 = -6`

Vậy `-6` có thể tách thành `49/16 - 145/16`

Thảo luận

-- Cho mk hỏi sao đc 7/4 v ạ
-- bạn hiểu đơn giản như này nhé : `a=x` có : `7/2 .x` mà sựa theo hằng đẳng thức thì lại có : `2ab` nên ta được `2 . x` mà còn thiếu `b` , nên biến đổi sao cho thành vẫn giữ nguyên `7/2 x` ban đầu `->` dễ dàng tìm ra `b= 7/4` vì `2 . 7/4 = 7/2` Nên ta ... xem thêm
-- Vg cho em hỏi vs ạ
-- Tại sao lại ko nghĩ là số khác mà lại 7/4 ạ
-- em thấy khi đặt `-2` ra ngoài không
-- trong ngoặc sẽ còn : `x^2 + 7/2x -6` đúng chứ ? đây sẽ tương đương hằng đẳng thức : `x^2 = a` `7/2 x = 2ab` `-6 = b`
-- theo hằng đẳng thức : thì `2` sẽ nhân với `x` , được `2x` rồi . Lúc này cần nhân với một hạng tử nữa để được `7/2x` giữ nguyên đúng ban đầu.
-- nên cần nhân với `7/4`

Bạn có biết?

Toán học là môn khoa học nghiên cứu về các số, cấu trúc, không gian và các phép biến đổi. Nói một cách khác, người ta cho rằng đó là môn học về "hình và số". Theo quan điểm chính thống neonics, nó là môn học nghiên cứu về các cấu trúc trừu tượng định nghĩa từ các tiên đề, bằng cách sử dụng luận lý học (lôgic) và ký hiệu toán học. Các quan điểm khác của nó được miêu tả trong triết học toán. Do khả năng ứng dụng rộng rãi trong nhiều khoa học, toán học được mệnh danh là "ngôn ngữ của vũ trụ".

Nguồn : Wikipedia - Bách khoa toàn thư

Tâm sự 8

Lớp 8 - Năm thứ ba ở cấp trung học cơ sở, học tập bắt đầu nặng dần, sang năm lại là năm cuối cấp áp lực lớn dần nhưng các em vẫn phải chú ý sức khỏe nhé!

Nguồn : ADMIN :))

Liên hệ hợp tác hoặc quảng cáo: gmail

Điều khoản dịch vụ

Copyright © 2021 HOCTAPSGK