Trang chủ Vật Lý Lớp 9 Câu 28: Cho hai điểm M, N nằm trên trục...

Câu 28: Cho hai điểm M, N nằm trên trục chính của một thấu kinh hoi tu và củng một phía đoi voi thấu kinh. Vật phẳng nhỏ có chiều cao h 2cm vuông góc với t

Câu hỏi :

Giải chi tiết nhé, cảm ơn trước !!!

image

Lời giải 1 :

tiếp theo mấy tấm ảnh

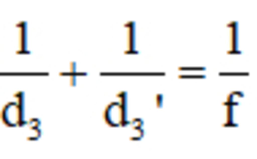
$d_{3}'=$ $\frac{d_{3}.f}{d_{3}-f}=$ $\frac{2,5f.f}{2,5f-f}=$ $\frac{5}{3}f$

$\frac{d_{3}}{d_{3}'}=$ $\frac{h}{h_{3}}=$ $\frac{2,5f}{\frac{5}{3}f}=1,5$ 

⇒$h_{3}=$ $\frac{h}{1,5}=$ $\frac{2}{1,5}=$ $\frac{4}{3}cm$ 

$chucbanhoktot$

$chomikxinctlhnnha$

$fandom$

image
image
image
image
image

Thảo luận

Lời giải 2 :

Đáp án:D

 

Giải thích các bước giải:

Ở vị trí M: h=h1=2cm

⇒h/h1=d1/d1'=1⇒d1=2f

Ở vị trí N: h/h2=d2/d2'=2⇒d2'=d2/2

⇒1/d2+1/d2'=1/f⇒d2=3f

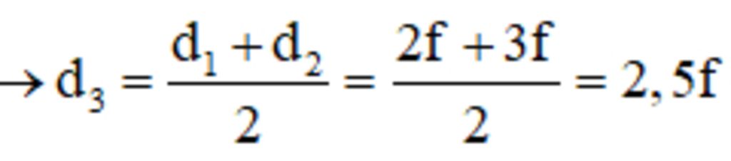
Vì I là trung điểm của MN nên

d3=(d1+d2)/2=(2f+3f)/2=2,5f

Ta có :1/d3+1/d3'=1/f

⇒d3'=d3f/d3-f=(2,5f.f)/2,5f-f=5/3f

⇒d3/d3'=h/h3=2,5f/5/3f=1,5

⇒h3=h/1,5=2/1,5=4/3cm

 

Bạn có biết?

Vật lý học (tiếng Anh:physics, từ tiếng Hi Lạp cổ: φύσις có nghĩa là kiến thức về tự nhiên) là một môn khoa học tự nhiên tập trung vào sự nghiên cứu vật chất và chuyển động của nó trong không gian và thời gian, cùng với những khái niệm liên quan như năng lượng và lực.Vật lí học là một trong những bộ môn khoa học lâu đời nhất, với mục đích tìm hiểu sự vận động của vũ trụ.

Nguồn : Wikipedia - Bách khoa toàn thư

Tâm sự 9

Lớp 9 - Là năm cuối ở cấp trung học cơ sở, sắp phải bước vào một kì thi căng thẳng và sắp chia tay bạn bè, thầy cô và cả kì vọng của phụ huynh ngày càng lớn mang tên "Lên cấp 3". Thật là áp lực nhưng các em hãy cứ tự tin vào bản thân là sẻ vượt qua nhé!

Nguồn : ADMIN :))

Liên hệ hợp tác hoặc quảng cáo: gmail

Điều khoản dịch vụ

Copyright © 2021 HOCTAPSGK